Universal Differential Equation
المؤلف:
Boshernitzan, M
المصدر:
"Universal Formulae and Universal Differential Equations." Ann. Math. 124
الجزء والصفحة:
...
22-5-2018
1869
Universal Differential Equation
A universal differential equation (UDE) is a nontrivial differential-algebraic equation with the property that its solutions approximate to arbitrary accuracy any continuous function on any interval of the real line.
Rubel (1981) found the first known UDE by showing that, given any continuous function
and any positive continuous function
, there exists a
solution
of
 |
(1)
|
such that
 |
(2)
|
for all
.
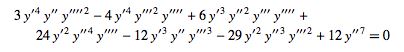
Duffin (1981) found two additional families of UDEs,
 |
(3)
|
and
 |
(4)
|
whose solutions are
for
.
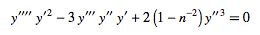
Briggs (2002) found a further family of UDEs given by
 |
(5)
|
for
.
REFERENCES:
Boshernitzan, M. "Universal Formulae and Universal Differential Equations." Ann. Math. 124, 273-291, 1986.
Boshernitzan, M. and Rubel, L. A. "Coherent Families of Polynomials." Analysis 6, 339-389, 1985.
Briggs, K. "Another Universal Differential Equation." 8 Nov 2002. http://arxiv.org/abs/math.CA/0211142.
Duffin, R. J. "Rubel's Universal Differential Equation." Proc. Nat. Acad. Sci. USA 78, 4661-4662, 1981.
Elsner, C. "On the Approximation of Continuous Functions by
-Solutions of Third-Order Differential Equations." Math. Nachr. 157, 235-241, 1992.
Elsner, C. "A Universal Functional Equation." Proc. Amer. Math. Soc. 127, 139-143, 1999.
Rubel, L. A. "A Universal Differential Equation." Bull. Amer. Math. Soc. 4, 345-349, 1981.
Rubel, L. A. "Some Research Problems About Algebraic Differential Equations." Trans. Amer. Math. Soc. 280, 43-52, 1983.
Rubel, L. A. "Some Research Problems About Algebraic Differential Equations II." Illinois J. Math. 36, 659-680, 1992.
Rubel, L. A. "Uniform Approximation by Rational Functions All of Which Satisfy the Same Algebraic Differential Equation." J. Approx. Th. 84, 123-128, 1996.
الاكثر قراءة في معادلات تفاضلية
اخر الاخبار
اخبار العتبة العباسية المقدسة