Abel,s Differential Equation
المؤلف:
Murphy, G. M
المصدر:
rdinary Differential Equations and Their Solution. Princeton, NJ: Van Nostrand, 1960.
الجزء والصفحة:
...
30-5-2018
1337
Abel's Differential Equation
The Abel equation of the first kind is given by

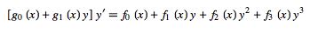
(Murphy 1960, p. 23; Zwillinger 1997, p. 120), and the Abel equation of the second kind by

(Murphy 1960, p. 25; Zwillinger 1997, p. 120).
REFERENCES:
Murphy, G. M. Ordinary Differential Equations and Their Solution. Princeton, NJ: Van Nostrand, 1960.
Zwillinger, D. Handbook of Differential Equations, 3rd ed. Boston, MA: Academic Press, p. 120, 1997.
الاكثر قراءة في معادلات تفاضلية
اخر الاخبار
اخبار العتبة العباسية المقدسة