van der Pol Equation
المؤلف:
Birkhoff, G. and Rota, G.-C
المصدر:
Ordinary Differential Equations, 3rd ed. New York: Wiley
الجزء والصفحة:
...
5-7-2018
2328
van der Pol Equation

The van der Pol equation is an ordinary differential equation that can be derived from the Rayleigh differential equationby differentiating and setting
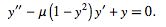
. It is an equation describing self-sustaining oscillations in which energy is fed into small oscillations and removed from large oscillations. This equation arises in the study of circuits containing vacuum tubes and is given by

If
, the equation reduces to the equation of simple harmonic motion
REFERENCES:
Birkhoff, G. and Rota, G.-C. Ordinary Differential Equations, 3rd ed. New York: Wiley, p. 134, 1978.
Boyce, W. E. and DiPrima, R. C. Elementary Differential Equations and Boundary Value Problems, 4th ed. New York: Wiley, 1986.
Kreyszig, E. Advanced Engineering Mathematics, 6th ed. New York: Wiley, pp. 496-500, 1988.
Wiggins, S. Introduction to Applied Nonlinear Dynamical Systems and Chaos. New York: Springer-Verlag, p. 179, 1990.
Zwillinger, D. Handbook of Differential Equations, 3rd ed. Boston, MA: Academic Press, p. 127, 1997.
الاكثر قراءة في معادلات تفاضلية
اخر الاخبار
اخبار العتبة العباسية المقدسة