
تاريخ الفيزياء

علماء الفيزياء


الفيزياء الكلاسيكية

الميكانيك

الديناميكا الحرارية


الكهربائية والمغناطيسية

الكهربائية

المغناطيسية

الكهرومغناطيسية


علم البصريات

تاريخ علم البصريات

الضوء

مواضيع عامة في علم البصريات

الصوت


الفيزياء الحديثة


النظرية النسبية

النظرية النسبية الخاصة

النظرية النسبية العامة

مواضيع عامة في النظرية النسبية

ميكانيكا الكم

الفيزياء الذرية

الفيزياء الجزيئية


الفيزياء النووية

مواضيع عامة في الفيزياء النووية

النشاط الاشعاعي


فيزياء الحالة الصلبة

الموصلات

أشباه الموصلات

العوازل

مواضيع عامة في الفيزياء الصلبة

فيزياء الجوامد


الليزر

أنواع الليزر

بعض تطبيقات الليزر

مواضيع عامة في الليزر


علم الفلك

تاريخ وعلماء علم الفلك

الثقوب السوداء


المجموعة الشمسية

الشمس

كوكب عطارد

كوكب الزهرة

كوكب الأرض

كوكب المريخ

كوكب المشتري

كوكب زحل

كوكب أورانوس

كوكب نبتون

كوكب بلوتو

القمر

كواكب ومواضيع اخرى

مواضيع عامة في علم الفلك

النجوم

البلازما

الألكترونيات

خواص المادة


الطاقة البديلة

الطاقة الشمسية

مواضيع عامة في الطاقة البديلة

المد والجزر

فيزياء الجسيمات


الفيزياء والعلوم الأخرى

الفيزياء الكيميائية

الفيزياء الرياضية

الفيزياء الحيوية

الفيزياء العامة


مواضيع عامة في الفيزياء

تجارب فيزيائية

مصطلحات وتعاريف فيزيائية

وحدات القياس الفيزيائية

طرائف الفيزياء

مواضيع اخرى
A mass on a vertical spring
المؤلف:
George C. King
المصدر:
Vibrations and Waves
الجزء والصفحة:
4
5-2-2021
2490
A mass on a vertical spring

Figure 1.1 An oscillating mass on a vertical spring. (a) The mass at its equilibrium position. (b) The mass displaced by a distance x from its equilibrium position.
If we suspend a mass from a vertical spring, as shown in Figure 1.1, we have gravity also acting on the mass. When the mass is initially attached to the spring, the length of the spring increases by an amount Δl. Taking displacements in the downward direction as positive, the resultant force on the mass is equal to the gravitational force minus the force exerted upwards by the spring, i.e. the resultant force is given by mg − kΔl. The resultant force is equal to zero when the mass is at its equilibrium position. Hence
kΔl = mg.
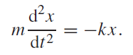
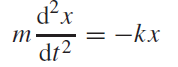
When the mass is displaced downwards by an amount x, the resultant force is given by

i.e.

..........(1)
Perhaps not surprisingly, this result is identical to the equation of motion (1) of the horizontal spring: we simply need to measure displacements from the equilibrium position of the mass.
الاكثر قراءة في الفيزياء العامة
اخر الاخبار
اخبار العتبة العباسية المقدسة
الآخبار الصحية

قسم الشؤون الفكرية يصدر كتاباً يوثق تاريخ السدانة في العتبة العباسية المقدسة
"المهمة".. إصدار قصصي يوثّق القصص الفائزة في مسابقة فتوى الدفاع المقدسة للقصة القصيرة
(نوافذ).. إصدار أدبي يوثق القصص الفائزة في مسابقة الإمام العسكري (عليه السلام)