

علم الكيمياء

تاريخ الكيمياء والعلماء المشاهير

التحاضير والتجارب الكيميائية

المخاطر والوقاية في الكيمياء

اخرى

مقالات متنوعة في علم الكيمياء

كيمياء عامة


الكيمياء التحليلية

مواضيع عامة في الكيمياء التحليلية

التحليل النوعي والكمي

التحليل الآلي (الطيفي)

طرق الفصل والتنقية


الكيمياء الحياتية

مواضيع عامة في الكيمياء الحياتية

الكاربوهيدرات

الاحماض الامينية والبروتينات

الانزيمات

الدهون

الاحماض النووية

الفيتامينات والمرافقات الانزيمية

الهرمونات


الكيمياء العضوية

مواضيع عامة في الكيمياء العضوية

الهايدروكاربونات

المركبات الوسطية وميكانيكيات التفاعلات العضوية

التشخيص العضوي

تجارب وتفاعلات في الكيمياء العضوية


الكيمياء الفيزيائية

مواضيع عامة في الكيمياء الفيزيائية

الكيمياء الحرارية

حركية التفاعلات الكيميائية

الكيمياء الكهربائية


الكيمياء اللاعضوية

مواضيع عامة في الكيمياء اللاعضوية

الجدول الدوري وخواص العناصر

نظريات التآصر الكيميائي

كيمياء العناصر الانتقالية ومركباتها المعقدة


مواضيع اخرى في الكيمياء

كيمياء النانو

الكيمياء السريرية

الكيمياء الطبية والدوائية

كيمياء الاغذية والنواتج الطبيعية

الكيمياء الجنائية


الكيمياء الصناعية

البترو كيمياويات

الكيمياء الخضراء

كيمياء البيئة

كيمياء البوليمرات

مواضيع عامة في الكيمياء الصناعية

الكيمياء التناسقية

الكيمياء الاشعاعية والنووية
تشكل السكريات الجليوكوزيدات مع مركبات اخرى ومع بعضها بعضاً
المؤلف:
د. روبرت موراي وآخرون
المصدر:
هاربرز في الكيمياء الحيوية
الجزء والصفحة:
ص 432
19-7-2021
3017
تشكل السكريات الجليوكوزيدات مع مركبات اخرى ومع بعضها بعضاً
الجليكوزيدات (Glycosides) هي مركبات تتشكل نتيجة تكاثف زمرة الهدركسيل التابعة للكربون الأنوميري في أحادي السكريد أو في ثمالة أحادي السكريد، مع مركب ثان، الذي قد يكون، أو لا يكون كما في حالة الأجليكون (Aglycone)؛ (الجزء اللاسكري)، أحادي سكريد آخر. فإذا كانت الزمرة الثانية هيرركسيلأ، فإن الرابطة O- الجليكوزيدية هي من نوع ((أسيتال)) لأنها تنجم عن تفام بين زمرة الأسيتال النصفي (المتشكل من ألدهيد وزمرة -HO مع زمرة -HO أخرى). أما إذا كان قسم الأسيتال النصفي جلوكوزا، فالمركب الناتج هو جليكوزيد؛ وإذا كان جالاكتوزأ فالمركب هو الجالاكتوزيد، وهكذا دواليك. من جانب آخر، إذا كانت الزمرة الثانية أميتاً، فإنه تتشكل رابطة N- جليكوزيدية، كما هو الحال بين الأدينين والريبوز في النوكليوتيدات مثل ال ATP.
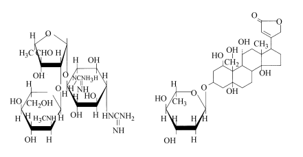
توجد الجليكوزيدات في العديد من الأدوية والتوابل، وفي مكونات الأنسجة الحيوانية. قد يكون الأجليكون هو الميثانول أو الجليسرول أو ستيرولا أو فينولا أو أساساً مثل الأدينين. وتحوي كافة الجليكوزيدات المهمة طببتاً بسبب تأثيرها على القلب (الجليكوزيدات القلبية Cardiac glycosides)، على الستيرويدات كمكون أجليكوني فبتها. وهي تشمل مشتقات الديجيتال (Digitalis) (دواء مقو للقلب) والستروفنتوس (Strophanthus) (جنس من أشجار مدارية افريقية) مثل الأوابين (Ouabain) وهو مثبط لإنزيم ATP ase المعتمد على +K و +Na الموجود في الأغشية الخلوية. وتتضمن الجليكوزيدات الأخرى المضادات اخيوية مثل السترتووميسين (Streptomycin) (الشكل 15-10).

الشكل 15-9: αD-- جلوكورونات (لليسار) L-(G- أيدورونات (لليمين).
الجدول 15-2: البنتوزات ذات الأهمية الفيزيولوجية.

الجدول 15-3: الهكسوزات ذات الأهمية الفيزيولوجية.


الشكل 15-10: الستربتوميسين (لليسار) والأوابين (لليمين).
الاكثر قراءة في الكاربوهيدرات
اخر الاخبار
اخبار العتبة العباسية المقدسة
الآخبار الصحية

قسم الشؤون الفكرية يصدر كتاباً يوثق تاريخ السدانة في العتبة العباسية المقدسة
"المهمة".. إصدار قصصي يوثّق القصص الفائزة في مسابقة فتوى الدفاع المقدسة للقصة القصيرة
(نوافذ).. إصدار أدبي يوثق القصص الفائزة في مسابقة الإمام العسكري (عليه السلام)