
تاريخ الفيزياء

علماء الفيزياء


الفيزياء الكلاسيكية

الميكانيك

الديناميكا الحرارية


الكهربائية والمغناطيسية

الكهربائية

المغناطيسية

الكهرومغناطيسية


علم البصريات

تاريخ علم البصريات

الضوء

مواضيع عامة في علم البصريات

الصوت


الفيزياء الحديثة


النظرية النسبية

النظرية النسبية الخاصة

النظرية النسبية العامة

مواضيع عامة في النظرية النسبية

ميكانيكا الكم

الفيزياء الذرية

الفيزياء الجزيئية


الفيزياء النووية

مواضيع عامة في الفيزياء النووية

النشاط الاشعاعي


فيزياء الحالة الصلبة

الموصلات

أشباه الموصلات

العوازل

مواضيع عامة في الفيزياء الصلبة

فيزياء الجوامد


الليزر

أنواع الليزر

بعض تطبيقات الليزر

مواضيع عامة في الليزر


علم الفلك

تاريخ وعلماء علم الفلك

الثقوب السوداء


المجموعة الشمسية

الشمس

كوكب عطارد

كوكب الزهرة

كوكب الأرض

كوكب المريخ

كوكب المشتري

كوكب زحل

كوكب أورانوس

كوكب نبتون

كوكب بلوتو

القمر

كواكب ومواضيع اخرى

مواضيع عامة في علم الفلك

النجوم

البلازما

الألكترونيات

خواص المادة


الطاقة البديلة

الطاقة الشمسية

مواضيع عامة في الطاقة البديلة

المد والجزر

فيزياء الجسيمات


الفيزياء والعلوم الأخرى

الفيزياء الكيميائية

الفيزياء الرياضية

الفيزياء الحيوية

الفيزياء والفلسفة

الفيزياء العامة


مواضيع عامة في الفيزياء

تجارب فيزيائية

مصطلحات وتعاريف فيزيائية

وحدات القياس الفيزيائية

طرائف الفيزياء

مواضيع اخرى
نظرية الانشطار النووي
المؤلف:
د/ محمد شحادة الدغمة و أ.د/ علي محمد جمعة
المصدر:
الفيزياء النووية
الجزء والصفحة:
ج2 ص 243
25-12-2021
3914
نظرية الانشطار النووي
ليس هناك نظرية كاملة لتصف الانشطار النووي ولكن يمكن تفسير الكثير من خصائص هذا الاشطار في ضوء نموذج القطرة السائلة. وبناءاً على هذا النموذج استطاع بوهر وويلر عام 1939 وضع نظرية تصف الانشطار النووي. كما تم إدخال الكثير من التحسينات على هذه النظرية منذ ذلك الوقت.
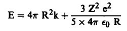
في ضوء نموذج القطرة السائلة نجد أن النواة تأخذ شكلا كروياً عندما تكون في متوى الاستقرار الأرضي. وتأخذ النواة هذا الشكل الكروي تحت تأثير قوة التوتر السطحي لها. ولكن النواة تحتوي على البروتونات الموجبة الشحنة ومن ثم تنتج قوة تنافر كهربي فيما بين هذه الشحنات عبارة عن قوة كولوم. حيث تحاول هذه القوة إحداث تشويه للشكل الكروي للنواة. وذلك عندما تحاول الجسيمات المشحونة أن تتنافر مع بعضها البعض. ومن ثم فإن طاقة النواة الكلية تنقسم إلى هذين التأثيرين أي أن:
(1).........
حيث معامل التوتر السطحي
0∋ سماحة الفراغ.
R نصف قطر النواة وZ عددها الذري.
يمثل الحد الأول في هذه المعادلة طاقة التوتر السطحي. أما الحد الثاني فيمثل طاقة التنافر الكهربي مع ملاحظة أننا أضفنا هنا المقدار
ليعبر عن القوة الكهربية في الفراغ.
وبالتالي فإن النواة تقع تحت تأثير هاذين، الحدين. حيث تحاول قوة التوتر السطحي أنه تحافظ على الشكل الكروي، واستقرار النواة (قوة تجاذب) اما فوة التنافر الكهربي فتحاول تمزيق النواة. فإذا ما أثيرت النواة لسبب أو لآخر (إما بإعطائها طاقة عن طريق قذفها بجسيم نووي أو بأية وسيلة أخرى) فإن ذلك يعمل على تشويه شكلها عن الشكل الكروي. ومن ثم تصبح النواة في مستويات إثارة معينة. فإذا كانت النواة متماثلة حول محور معين Axically Symmetric فإن شكلها يمكن أن يوصف بالعلاقة :
(2)...........
حيث α4, α2 معاملات التشويه التي تعتمد على درجة تشويه النواة.
R0 نصف قطر النواة الكروية.
R نصف قطر النواة المشوهة.
Y متعددة حدود ليجندر.
في الأنوية الخفيفة نجد أن قوة التنافر الكهربة صغيرة حيث تزداد قوة التوتر السطحي والقوة النووية وتصبح النواة كروية الشكل. أما في الأنوية الثقيلة جداً فإن كبر حجم النواة يؤدي إلى زيادة قوة التنافر الكهربي ومن ثم تستطيع هذه القوة التغلب على التوتر السطحي مما ينتج عنه انقسام أو انشطار النواة. ومن ثم فإن عملية الانشطار النووي يمكن تمثيلها بالشكل (1) حيث يبين لنا نواة كروية في البداية ثم تثار هذه النواة مما ينتج عنه بدء ظهور التشوهات فيها. وتستمر هذه التشوهات حتى تنقسم النواة في النهاية إلى نواتين مختلفتين وهذا هو الانشطار النووي. لاحظ أن الحجم النوري في جميع المراحل لم يتغير. في الشكل (أ) نجد أن النواة كروية وهنا فإن (0 = α4= α2) وبذلك فإن R = R0 في الشكل (ب) يظهر التشويه وتأخذ R العلاقة (2). في الشكل (حـ) يزداد التشويه. وهنا نصل إلى درجة عالية من الإثارة. فإذا كانت قوة التوتر السطحي ما زالت أكبر من قوة التنافر الكهربي فإن النواة قد تعود إلى شكلها الكروي الأصلي. وهنا تفقد النواة طاقة إثارتها بإطلاق الإشعاع النووي (جسيمات α, γ, β إلخ). أما إذا أصبحت قوة التوتر السطحي أصغر من قوة التنافر الكهربي سوف تنجح هذه الأخيرة في نقل النواة إلى المرحلة (د) حيث يتم انقسام النواة إلى نواتين أصغر منها.
الشكل (1)
وهكذا نرى أن النواة يمكنها أن تنشطر تلقائياً إذا كانت طاقة التوتر السطحي لها أقل من أو تساوي طاقة التنافر الكهربي. ويمكن إيجاد الشرط اللازم لذلك كما يلي:
تعطي طاقة التوتر السطحي (Es) للنواة المشوهة بالعلاقة:
(3) .........
حيث E0s طاقة التوتر السطحي للنواة الكروية.
α2 معامل التشوه كما جاء في المعادلة (2).
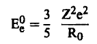
أما طاقة التنافر الكهربي Ee فتعط بالعلاقة:
(4)...........
حيث E0e طاقة تنافر النواة الكروية.
من المعادلتين السابقتين يمكن إيجاد طاقة التشوه VΔ حيث:
(5)..............
اي ان:
(6).............
تبين هذه المعادلة أن القطرة السائلة ستكون مستقرة إذا كان:

ويمكن تعريف معامل الانشطار (x) حيث:
(7)..........
ومن ثم فإن :
أ) إذا كانت :1 > x فإن النواة ستكون مستقرة.
ب) إذا كانت: x > 1 فإن النواة ستنشطر.
ويمكن حساب x من العلاقات الأساسية لنموذج القطرة السائلة حيث نجد أن:
(8) .........
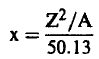
وبالتعويض عن قيمة الثوابت نجد أن:
(9)............
أما طاقة التوتر السطحي E0s فإنها تعطي بالعلاقة :
(10) ...........
من معادلتي (9، 10) وبالتعويض في معادلة (7) نجد أن:
(11)..........
وبالتالي فإن هذه المعادلة تمثل شرط حدوث الانشطار النووي التلقائي والآني للأنوية فإذا كانت:

فإن ذلك يعني أن النواة سوف تنشطر تلقائياً Spontaneausily وآنياً Instantaneously. نبين في الشكل (1) تغير عمر النصف للانشطار التلقائي كدالة في Z2/A . حيث نجد أنه كلما زادت القيمة 2 فإن عمر النصف يقل أي أن احتمال الانشطار التلقائي يزداد ويتضح ذلك جلياً في أنوية Fm . Cf , Cm لاحظ أن Z2/A لمثل هذه الأنوية أقل من 50 ولكنها تتمتع بعمر نصف صغير واحتمال انشطارها كبير. حيث يمكن أن يحدث الانشطار نتيجة لتأثير النفق.
كما يمكن ملاحظة أن الأنوية التي ستنشطر تلقائياً وآنياً والتي تخضع للعلاقة (11) هي تلك التي تتمتع بعدد ذري 140 < Z وعدد كتلة 390 < A.

الشكل (1)
الاكثر قراءة في مواضيع عامة في الفيزياء النووية
اخر الاخبار
اخبار العتبة العباسية المقدسة
الآخبار الصحية

قسم الشؤون الفكرية يصدر كتاباً يوثق تاريخ السدانة في العتبة العباسية المقدسة
"المهمة".. إصدار قصصي يوثّق القصص الفائزة في مسابقة فتوى الدفاع المقدسة للقصة القصيرة
(نوافذ).. إصدار أدبي يوثق القصص الفائزة في مسابقة الإمام العسكري (عليه السلام)