
تاريخ الفيزياء

علماء الفيزياء


الفيزياء الكلاسيكية

الميكانيك

الديناميكا الحرارية


الكهربائية والمغناطيسية

الكهربائية

المغناطيسية

الكهرومغناطيسية


علم البصريات

تاريخ علم البصريات

الضوء

مواضيع عامة في علم البصريات

الصوت


الفيزياء الحديثة


النظرية النسبية

النظرية النسبية الخاصة

النظرية النسبية العامة

مواضيع عامة في النظرية النسبية

ميكانيكا الكم

الفيزياء الذرية

الفيزياء الجزيئية


الفيزياء النووية

مواضيع عامة في الفيزياء النووية

النشاط الاشعاعي


فيزياء الحالة الصلبة

الموصلات

أشباه الموصلات

العوازل

مواضيع عامة في الفيزياء الصلبة

فيزياء الجوامد


الليزر

أنواع الليزر

بعض تطبيقات الليزر

مواضيع عامة في الليزر


علم الفلك

تاريخ وعلماء علم الفلك

الثقوب السوداء


المجموعة الشمسية

الشمس

كوكب عطارد

كوكب الزهرة

كوكب الأرض

كوكب المريخ

كوكب المشتري

كوكب زحل

كوكب أورانوس

كوكب نبتون

كوكب بلوتو

القمر

كواكب ومواضيع اخرى

مواضيع عامة في علم الفلك

النجوم

البلازما

الألكترونيات

خواص المادة


الطاقة البديلة

الطاقة الشمسية

مواضيع عامة في الطاقة البديلة

المد والجزر

فيزياء الجسيمات


الفيزياء والعلوم الأخرى

الفيزياء الكيميائية

الفيزياء الرياضية

الفيزياء الحيوية

الفيزياء العامة


مواضيع عامة في الفيزياء

تجارب فيزيائية

مصطلحات وتعاريف فيزيائية

وحدات القياس الفيزيائية

طرائف الفيزياء

مواضيع اخرى
الرنينيات البايونية (Pion Resonances)
المؤلف:
د/ محمد شحادة الدغمة و أ.د/ علي محمد جمعة
المصدر:
الفيزياء النووية
الجزء والصفحة:
ج2 ص 642
20-1-2022
2154
الرنينيات البايونية (Pion Resonances)
شوهدت هذه الرنينيات عند تشتت البايونات الموجبة والسالبة عن البروتونات حيث شوهدت قمم واضحة لمساحة المقطع المستعرض (σ) لتشتت ±π عن البروتون. وهذا يعني تكون حالات إثارة تبلغ عندها (Γ) حوالي 100 م. أ. ف وتتحلل هذه الحالات بعمر نصف يساوي حوالي 22-10 ×5 ثانية. ونبين فيما يلي أهم هذه الجسيمات الناتجة:
(1)...................
ومن ثم تنتج هنا جسيمات Δ++ ، Δo.
كما ويمكن أن يحدث تشتت عن النيوترونات وينتج أن :
(2) .................
ومن ثم تنتج هنا جسيمات -Δ+ ، Δ.
وقد وجد أن كتل هذه الجسيمات (Δ) تساوي 1.23 (ج.أ. ف.) كما وجد تكون عدة حالات إثارة من هذه الجسيمات بزيادة طاقة البايونات حيث اكتشفت قمم عند طاقات تساوي: (1.67)، (1.9) ج. أ. ف نبين في الشكل (1) تشتت البايونات عن النيوكليونات وتكون الجسيمات الرنينية (Δ).
الشكل (1)
نلاحظ هنا أنه تكونت أربع حالات مشحونة من جسيمات Δ وهي -Δ++ ، Δo ،Δ+ ، Δ وباستخدام الأعداد الكمية، نجد أن:
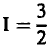
1. الزخم النظيري (I) لهذه الجسيمات يساوي 3/2 ومن ثم فإن عددها :

أي أربعة جسيمات كما بينا.
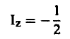
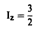
2. مركبة الزخم النظيري (Iz) وهي التي تبين حالات الشحنة للجسيمات تأخذ القيم التالية:

3. حيث أن هذه الجسيمات تتكون من البايون والنيوكليون فإن:
عدد الباريونات (1 = (B S = 0 ومن ثم فهذه الجسيمات تعرف أحياناً بحالات الرنين (1 =S = 0, B).
4. تعطي الشحنة الكلية (Q) للجسيم بالعلاقة:
(3) ...............
يمكنك الآن حساب (Q) لأي من الجسيمات الأولية وذلك للتحقق مما سبق. فمثلا للجسيم -Δ نجد أن شحنة هذا الجسيم سالبة وتساوي (1 -) ويمكن استنتاج ذلك من العلاقة (3) حيث نجد أن:

لقد لوحظ أن هناك بعض القمم تظهر في منظومة (P -π) ولكنها لم تظهر في منظومة (P +π) فلماذا؟
للإجابة على هذا السؤال نجد أن:

ومن ثم فإن المنظومة (P -π) نجد أن:

ولمنظومة (P +π) نجد أن:

ومنها فإنه لمنظومة (P -π) نجد أن:

أما المنظومة (P +π) فإن:

وهذا يعني أن منظومة (P -π) تزيد على منظومة (P +π) بحالة ذات Iz = 1/2 وتعرف القمم الرنينية الناتجة عن منظومة (P -π) بحالات *N1 N وتقع عند طاقات تساوي: 0.938، 1.470، 1,530 ج.أ.ف. أو أكثر:
حيث نجد أن:
*N جسيمات تنتج عن 1/2 - = Iz.
+*N جسيمات تنتج عن 1/2 + = Iz.
أما جسيمات Δ السابقة فتنتج عن باقي الحالات.
كما يمكن أن ينتج عن تشتت البايونات عن البروتونات تكون قمم أخرى حسب التفاعلات التالية:

(4)......................... .
نبين في الشكل (2) الجسيمات الناتجة عن التفاعلات في المعادلة
الشكل (2)
السابقة. حيث نجد في الشكل (2. أ) توزيعات الكتل للزوج +Δo ،Δ الناتجة عن المعادلة (1). وفي الشكل (2. ب) نجد توزيعات الكتل للزوج +π-، π الناتجة عن المعادلة (2). أما في الشكل (2. ج) نجد توزيعات الكتل للثلاثي π+، π-، πo الناتجة عن المعادلة (4). في الشكل أ، ب يتكون جسيم يعرف بميزون (ρ), أما في الشكل (جـ) فنجد قمة تمثل الجسيم (oW) عند (800 م.أ.ف.) وقمة أخرى تمثل الجسيم (ηo) عند حوالي (580 م.أ.ف.).
لاحظ أن ρoWo, يمكن أن تنتج أيضاً من تفاعلات مثل؟
(5).................
ثم يتحلل (ρo) حسب العلاقة:

وتفاعل مثل:
(6) ..........
ثم يتحلل (Wo) حسب العلاقة:

كما ويمكن أن تتحلل (η) إلى ثلاثة جسيمات حسب العلاقة:-

كما ويمكن أن تتكون (Wo) من تلاشي البروتون وضديده حسب العلاقة :
(7)........................
الاكثر قراءة في مواضيع عامة في الفيزياء النووية
اخر الاخبار
اخبار العتبة العباسية المقدسة
الآخبار الصحية

قسم الشؤون الفكرية يصدر كتاباً يوثق تاريخ السدانة في العتبة العباسية المقدسة
"المهمة".. إصدار قصصي يوثّق القصص الفائزة في مسابقة فتوى الدفاع المقدسة للقصة القصيرة
(نوافذ).. إصدار أدبي يوثق القصص الفائزة في مسابقة الإمام العسكري (عليه السلام)