
تاريخ الفيزياء

علماء الفيزياء


الفيزياء الكلاسيكية

الميكانيك

الديناميكا الحرارية


الكهربائية والمغناطيسية

الكهربائية

المغناطيسية

الكهرومغناطيسية


علم البصريات

تاريخ علم البصريات

الضوء

مواضيع عامة في علم البصريات

الصوت


الفيزياء الحديثة


النظرية النسبية

النظرية النسبية الخاصة

النظرية النسبية العامة

مواضيع عامة في النظرية النسبية

ميكانيكا الكم

الفيزياء الذرية

الفيزياء الجزيئية


الفيزياء النووية

مواضيع عامة في الفيزياء النووية

النشاط الاشعاعي


فيزياء الحالة الصلبة

الموصلات

أشباه الموصلات

العوازل

مواضيع عامة في الفيزياء الصلبة

فيزياء الجوامد


الليزر

أنواع الليزر

بعض تطبيقات الليزر

مواضيع عامة في الليزر


علم الفلك

تاريخ وعلماء علم الفلك

الثقوب السوداء


المجموعة الشمسية

الشمس

كوكب عطارد

كوكب الزهرة

كوكب الأرض

كوكب المريخ

كوكب المشتري

كوكب زحل

كوكب أورانوس

كوكب نبتون

كوكب بلوتو

القمر

كواكب ومواضيع اخرى

مواضيع عامة في علم الفلك

النجوم

البلازما

الألكترونيات

خواص المادة


الطاقة البديلة

الطاقة الشمسية

مواضيع عامة في الطاقة البديلة

المد والجزر

فيزياء الجسيمات


الفيزياء والعلوم الأخرى

الفيزياء الكيميائية

الفيزياء الرياضية

الفيزياء الحيوية

الفيزياء العامة


مواضيع عامة في الفيزياء

تجارب فيزيائية

مصطلحات وتعاريف فيزيائية

وحدات القياس الفيزيائية

طرائف الفيزياء

مواضيع اخرى
الجرعات الناتجة عن أشعة γ
المؤلف:
د/ محمد شحادة الدغمة و أ.د/ علي محمد جمعة
المصدر:
الفيزياء النووية
الجزء والصفحة:
ج2 ص 695
24-1-2022
1771
الجرعات الناتجة عن أشعة γ
لنفترض أن لدينا مصدراً مشعاً يعطي فيضاً من الفوتونات عند نقطة معينة قدره ∅ فوتون/ سم2. ث. ولنفترض أن طاقة الفوتون الواحد تساوي γE (م. أ. ف.) فتكون الطاقة التي تحملها هذه الفوتونات هي (γE∅) فإذا سقطت هذه الفوتونات على مادة معامل امتصاصها الخطي (aμ) فإن معدل امتصاص الطاقة يعطي بالمقدار:

فإذا كان لدينا الآن مصدراً نقطياً فاعليته (A) كوري ويطلق إشعاعاته بانتظام في الفراغ. فعلى بعد (R) من المصدر يعطي الفيض (s∅) الذي يرسله المصدر بالعلاقة:
(1) .........
حيث 4πR2 مساحة سطح الكرة التي نصف قطرها (R).
تبين العلاقة السابقة قانون التربيع العكسي المعروف في الصوت والضوء حيث نجد أن الشدة (I) أو الفيض يتناسب مع (1/R2).
مما سبق نستطيع أن نستنتج أن الجرعة الممتصة (Da) بواسطة المادة تعطى بالعلاقة :
(2) ...............
حيث A فعالية المصدر (Ci).
γE طاقة إشعاع أو الفوتون (MeV).
aμ معدل امتصاص المادة (1-cm).
R المسافة عن المصدر مقدرة بالسنتمترات.
فإذا ما وضع جسم (غلاف حول المصدر سمكه (X) ومعامل امتصاصه μ فإن الفيض النافذ (∅) منه يعطي بالعلاقة:
(3) .........
حيث B مقدار يعرف بعامل التراكم وهو عامل تصحيح عندما لا يكون لدينا شعاعاً ضيقاً من الإشعاع ومن ثم تعطى الجرعة الممتصة في هذه الحالة بالعلاقة العامة التالية:
(4)............ 
حيث x تقدر بالسنتمترات،
μ تقدر بوحدة (1-cm).
الشكل (1)
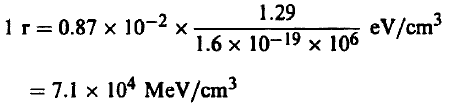
والماء والنسيج الحي كدالة في طاقة أشعة γ، يتضح من الشكل (1. أ) أن aμ ثابتة تقريباً بين القيمتين (3، 3.87)× 10-5 لكل سم. وذلك لطاقات أشعة γ المتراوحة بين 1، 10 م. أ. ف. ومن ثم يمكن حساب جرعة الامتصاص بوحدات الرونتجن (أو الراد في حالة أشعة X أو أشعة γ) أن امتصاص رونتجن واحد يؤدي إلى امتصاص 0.87 جول لكل كيلوجرام من الهواء، ويمكن تحويل هذه الوحدة إلى م.أ.ف./سم3، حيث نجد أن:

وحيث أن كثافة الهواء تساويKg/m3 1.29 فإن حجم كيلوجرام واحد من الهواء يساوي 106/1.29 سم3.
وحيث أن:

فإن:

وبالتعويض في معادلة (2) نجد أن:
(5) .............
وبالتعويض عن قيمة (aμ) بالقيمة المتوسطة (5-10 × 3.5) لطاقات أشعة γ المتوسطة) وإجراء بعض الاختصارات يمكن استنتاج أن:
(6) .................
حيث تعطي الجرعة هنا بالرونتجن لكل ساعة (لاحظ هنا أننا أهملنا امتصاص إشعاع γ بواسطة الهواء)، γE بوحدات م.أ. ف A بالكوري، R بالسنتمترات.
هذا في حالة المصدر الغير مغلف (Unshielded). وفي حالة المصدر المغلف بمادة سمكها (x) فإننا نستخدم معادلة (3) وتعطي الجرعة الممتصة بمعادلة تشبه معادلة (6) حيث:
(7) ..............
وتقدر الكميات في هذه المعادلة بنفس وحدات معادلة (6).
لاحظ أنه في حالة الماء فإننا نستبدل الوحدة (s.MeV/cm3) بالوحدة (s.MeV/g) وذلك لأن كتلة السنتمتر المكعب من الماء تساوي جرام واحد.
ومن ثم فإن معادلة (1) تأخذ الصورة التالية:
(8) ....................
ويمكن تقدير الجرعة الممتصة لأي نوع من الإشعاع بوحدة (rad/hr) وذلك حسب العلاقة:
(9) .................
حيث E طاقة الإشعاع الساقط (مقدرة بوحدات م.أ.ف.)
نبين في الشكل (2) الطاقة المفقودة (E μ( بواسطة إشعاع جاما في الماء
وفي الشكل (3) نبين الطاقة المفقودة (E μ) بواسطة إشعاع β في الماء
الشكل (2)

الشكل (3)
الاكثر قراءة في مواضيع عامة في الفيزياء النووية
اخر الاخبار
اخبار العتبة العباسية المقدسة
الآخبار الصحية

قسم الشؤون الفكرية يصدر كتاباً يوثق تاريخ السدانة في العتبة العباسية المقدسة
"المهمة".. إصدار قصصي يوثّق القصص الفائزة في مسابقة فتوى الدفاع المقدسة للقصة القصيرة
(نوافذ).. إصدار أدبي يوثق القصص الفائزة في مسابقة الإمام العسكري (عليه السلام)