

اساسيات الاعلام

الاعلام

اللغة الاعلامية

اخلاقيات الاعلام

اقتصاديات الاعلام

التربية الاعلامية

الادارة والتخطيط الاعلامي

الاعلام المتخصص

الاعلام الدولي

الرأي العام

الدعاية والحرب النفسية

التصوير

المعلوماتية


الإخراج

الإخراج الاذاعي والتلفزيوني

الإخراج الصحفي

مناهج البحث الاعلامي

وسائل الاتصال الجماهيري

علم النفس الاعلامي

مصطلحات أعلامية

الإعلان


السمعية والمرئية

التلفزيون

الاذاعة

اعداد وتقديم البرامج

الاستديو

الدراما

صوت والقاء

تحرير اذاعي

تقنيات اذاعية وتلفزيونية

صحافة اذاعية

فن المقابلة

فن المراسلة

سيناريو

اعلام جديد

الخبر الاذاعي


الصحافة

الصحف

المجلات

وكالات الأنباء


التحرير الصحفي

فن الخبر

التقرير الصحفي

التحرير

تاريخ الصحافة

الصحافة الالكترونية

المقال الصحفي

التحقيقات الصحفية

صحافة عربية


العلاقات العامة

العلاقات العامة

استراتيجيات العلاقات العامة وبرامجها

التطبيقات الميدانية للعلاقات العامة

العلاقات العامة التسويقية

العلاقات العامة الدولية

العلاقات العامة النوعية

العلاقات العامة الرقمية

الكتابة للعلاقات العامة

حملات العلاقات العامة

ادارة العلاقات العامة
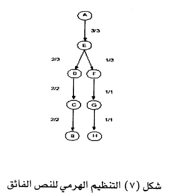
التنظيم الهرمي للنص الفائق Hierarchical hypertext
المؤلف:
د. بسنت عبد المحسن عبد اللطيف العقباوي
المصدر:
الصحافة الالكترونية وبينتها على شبكة الانترنيت
الجزء والصفحة:
ص 216-217
22-2-2022
2062
قد يأخذ بناء نظام النص الفائق شكل قائمة المحتويات التي ترتب فيها جميع المعلومات بشكل هرمي ويكفي للمستخدم للانتقال من صفحة إلى أخري النقر بالفارة على عنوان الموضوع والروابط هنا تبني على أساس بنائي وليس على أساس دلالي وللبناء الهرمي سببان تدعو إلى استخدامه من قبل معدي الصحف الإلكترونية هما:
- أنه أقرب ما يكون إلى الأصول المكتوبة التي يجدها القارئ ضمن الصحف التقليدية المطبوعة.
- أن هذا التنظيم يدم عملية الإبحار، فالمستخدم لهذا النموذج يعرف النقطة التالية التي يجب أن يذهب إليها والنقاط التي سبق وأن مر بها.
إلا أن من عيوب هذا التنظيم أن عملية الربط بين المفاهيم تكون ضعيفة حيث أنها تسير في اتجاه واحد.

الاكثر قراءة في الصحافة الالكترونية
اخر الاخبار
اخبار العتبة العباسية المقدسة
الآخبار الصحية

قسم الشؤون الفكرية يصدر كتاباً يوثق تاريخ السدانة في العتبة العباسية المقدسة
"المهمة".. إصدار قصصي يوثّق القصص الفائزة في مسابقة فتوى الدفاع المقدسة للقصة القصيرة
(نوافذ).. إصدار أدبي يوثق القصص الفائزة في مسابقة الإمام العسكري (عليه السلام)