
الادارة الهندسية

الانشاءات

الطرق والمواصلات

الموارد المائية

هندسة الجيوتكنك
علاقة سمك المطر والمساحة والزمن
المؤلف:
أ.د. عصام محمد عبد الماجد +د. عباس عبد الله ابراهيم
المصدر:
هيدرولوجيا
الجزء والصفحة:
ص38
2023-02-13
2483
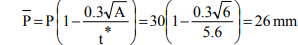
النسبة بين مطر النقطة point وسطر المساحة area عبر مساحات تصل إلى عشرة كيلو متر مربع ولعواصف تدوم من 2 إلى 120 دقيقة يمكن إيجادها من المعادلة 
حيث
~P = سمك المطر المتوسط عبر المساحة
P = سمك مطر النقطة محسوب على مركز المساحة
A = المساحة (كيلو متر مربع)
t* = دالة (جاما عكسية) لزمن العاصفة يوجد من جداول معينة أو رسومات بيانية.
مثال :
جد شدة المطر المتوسط عبر مساحة 6 كيلو متر مربع خلال زوبعة (عاصفة مطرية ) مدتها ساعة لتردد مرة كل عشر سنوات
بإفتراض مطر النقطة 30 ملم وجاما عكسية 5.6
الحل :
المعطيات : A = 6 كيلو متر مربع ، t = 60 دقيقة ، t* =5.6 , p = 30 ملم
جد نسبة سمك المطر المتوسط من المعادلة :

P = 26 ملم في ساعة واحدة.
الاكثر قراءة في الموارد المائية
اخر الاخبار
اخبار العتبة العباسية المقدسة
الآخبار الصحية

قسم الشؤون الفكرية يصدر كتاباً يوثق تاريخ السدانة في العتبة العباسية المقدسة
"المهمة".. إصدار قصصي يوثّق القصص الفائزة في مسابقة فتوى الدفاع المقدسة للقصة القصيرة
(نوافذ).. إصدار أدبي يوثق القصص الفائزة في مسابقة الإمام العسكري (عليه السلام)