

الفاكهة والاشجار المثمرة


نخيل التمر

النخيل والتمور

آفات وامراض النخيل وطرق مكافحتها

التفاح

الرمان

التين

اشجار القشطة

الافو كادو او الزبدية

البشمله او الاكي دنيا

التوت

التين الشوكي

الجوز

الزيتون

السفرجل

العنب او الكرمة

الفستق

الكاكي او الخرما او الخرمالو

الكمثري(الاجاص)

المانجو

الموز

النبق او السدر

فاكة البابايا او الباباظ

الكيوي


الحمضيات

آفات وامراض الحمضيات

مقالات منوعة عن الحمضيات


الاشجار ذات النواة الحجرية

الاجاص او البرقوق

الخوخ او الدراق

الكرز

المشمش

مواضيع عامة

اللوز

الفراولة او الشليك

الجوافة

الخروب(الخرنوب)

الاناناس

مواضيع متنوعة عن اشجار الفاكهة

التمر هندي

الكستناء

شجرة البيكان ( البيقان )

البندق


المحاصيل


المحاصيل البقولية

الباقلاء (الفول)

الحمص

الترمس

العدس

الماش

اللوبياء

الفاصولياء

مواضيع متنوعة عن البقوليات

فاصوليا الليما والسيفا

محاصيل الاعلاف و المراعي


محاصيل الالياف

القطن

الكتان

القنب

الجوت و الجلجل

محصول الرامي

محصول السيسال

مواضيع متنوعة عن محاصيل الألياف


محاصيل زيتية

السمسم

فستق الحقل

فول الصويا

عباد الشمس (دوار الشمس)

العصفر (القرطم)

السلجم ( اللفت الزيتي )

مواضيع متنوعة عن المحاصيل الزيتية

الخروع


محاصيل الحبوب

الذرة

محصول الرز

محصول القمح

محصول الشعير

الشيلم

الشوفان (الهرطمان)

الدخن


محاصيل الخضر

الباذنجان

الطماطم

البطاطس(البطاطا)

محصول الفلفل

محصول الخس

البصل

الثوم


القرعيات

الخيار

الرقي (البطيخ الاحمر)

البطيخ

آفات وامراض القرعيات

مواضيع متنوعة عن القرعيات

البازلاء اوالبسلة

مواضيع متنوعة عن الخضر

الملفوف ( اللهانة او الكرنب )

القرنبيط او القرنابيط

اللفت ( الشلغم )

الفجل

السبانخ

الخرشوف ( الارضي شوكي )

الكرفس

القلقاس

الجزر

البطاطا الحلوه

القرع

الباميه

البروكلي او القرنابيط الأخضر

البنجر او الشمندر او الشوندر

عيش الغراب او المشروم او الأفطر


المحاصيل المنبهة و المحاصيل المخدرة

مواضيع متنوعة عن المحاصيل المنبهة

التبغ

التنباك

الشاي

البن ( القهوة )


المحاصيل السكرية

قصب السكر

بنجر السكر

مواضيع متنوعة عن المحاصيل


نباتات الزينة والنباتات الطبية والعطرية

نباتات الزينة

النباتات الطبية والعطرية


الحشرات النافعة


النحل

نحل العسل

عسل النحل ومنتجات النحل الاخرى

آفات وامراض النحل


دودة القز(الحرير)

آفات وامراض دودة الحرير

تربية ديدان الحرير وانتاج الحرير الطبيعي


تقنيات زراعية

الاسمدة

الزراعة العضوية

الزراعة النسيجية

الزراعة بدون تربة

الزراعة المحمية

المبيدات الزراعية

انظمة الري الحديثة


التصنيع الزراعي

تصنيع الاعلاف

صناعات غذائية

حفظ الاغذية


الانتاج الحيواني


الطيور الداجنة

الدواجن

دجاج البيض

دجاج اللحم

امراض الدواجن


الاسماك

الاسماك

الامراض التي تصيب الاسماك


الابقار والجاموس

الابقار

الجاموس

امراض الابقار والجاموس


الاغنام

الاغنام والماعز

الامراض التي تصيب الاغنام والماعز


آفات وامراض النبات وطرق مكافحتها


الحشرات

الحشرات الطبية و البيطرية

طرق ووسائل مكافحة الحشرات

الصفات الخارجية والتركيب التشريحي للحشرات

مواضيع متنوعة عن الحشرات

انواع واجناس الحشرات الضارة بالنبات

المراتب التصنيفية للحشرات


امراض النبات ومسبباتها

الفطريات والامراض التي تسببها للنبات

البكتريا والامراض التي تسببها للنبات

الفايروسات والامراض التي تسببها للنبات

الاكاروسات (الحلم)

الديدان الثعبانية (النيماتودا)

امراض النبات غير الطفيلية (الفسيولوجية) وامراض النبات الناتجة عن بعض العناصر

مواضيع متنوعة عن امراض النبات ومسبباتها


الحشائش والنباتات الضارة

الحشائش والنباتات المتطفلة

طرق ووسائل مكافحة الحشائش والنباتات المتطفلة

آفات المواد المخزونة

مواضيع متنوعة عن آفات النبات

المكائن والالات الزراعية

مواضيع متنوعة عن الزراعة
نمو وتطور ثمار الحمضيات
المؤلف:
د. نزال الديري
المصدر:
أشجار الفاكهة مستديمة الخضرة
الجزء والصفحة:
ص 163-166
2023-03-06
3423
نمو وتطور ثمار الحمضيات
تشير الدراسات على نمو ثمار الحمضيات في مصر، بأن الثمار تمر بعد التلقيح والعقد في طور انقسام الخلايا الذي يستمر لعدة أسابيع تكون نتيجته تحديد العدد النهائي لعدد الخلايا في الثمرة. ثم تمر بعد ذلك في طور تمدد هذه الخلايا واتساعها وكبر حجمها نتيجة لزيادة محتوياتها المائية والكيميائية.

شكل يبين أجزاء ثمرة الحمضيات
وتكون الثمار جلدية سميكة عند بدء تكونها إذا ما قورنت باللب، ثم ترق هذه القشرة تدريجيا مع نمو الثمار، وتستمر في نموها دون توقف، إذا لم تتعرض لظروف بيئية غير ملائمة لمدة طويلة ويبدو شكل الثمار كرويا أو شبه كروي، بعد العقد بصرف النظر عن شكل الثمرة النهائي، ويستمر هذا الشكل لمدة تختلف حسب الانواع والاصناف. أما بالنسبة للأصناف ذات الشكل البيضاوي كاليافاوي والليمون الاضاليا فلا يبقى هذا الشكل الكروي بعد العقد سوى فترة قليلة ويبدأ بعد ذلك ظهور اختلاف الشكل حتى على الثمار في أعمارها الصغيرة.
اما بخصوص تطور التلوين وتدرجه خلال فترة نمو الثمار، فان الثمار تستمر خضراء داكنة لفترة طويلة قد تستمر لعدة شهور قبل أن تبدأ بالتلون.

خط بياني يبين تطور ثمار الحمضيات
فقد تستمر ثمار اليوسفي والبرتقال البلدي خضراء لمدة حوالي ۲۰۰ يوما من بدء العقد، وأكثر من ذلك في الاصناف المتأخرة من البرتقال والجريفون والبوملي. اما اللون النهائي فيتخذ درجات مختلفة من اللون الاصفر الليموني أو البرتقالي المحمر تبعا لنوع الثمار وأصنافها أما تلوين اللب الداخلي فيسير بتطور مماثل مع تغيرات لون القشرة ويصل الى درجة التلوين النهائي قبيل النضج. وفي أغلبية الاحوال يكون لون الثمار الداخلي مماثلا للون القشرة أو قريبا منها مع وجود بعض الاستثناءات كما هي الحال في البرتقال أبو دمه ( الدموي ) .

أما التغيرات الكيميائية المصاحبة للتغيرات السابقة، فتتلخص في زيادة نسبة المواد الصلبة الذائبة في العصير، وهي تعبر الى حد ما عن نسبة السكريات بجميع أنواعها. وكلما تقدم عمر الثمرة حتى تصل أقصاها في مرحلتي اكتمال النمو والنضج، فان مكونات الطعم الأخرى تزداد مثل الزيوت الطيارة والاملاح المعدنية التي يحتويها العصير. اما السكريات الموجودة في الثمار فهي السكروز (وهو السائد) ويليه الجلوكوز ثم الفركتوز وتتصف أغلبية أصناف ثمار الحمضيات بارتفاع نسبة الحموضة في جميع أطوارها حتى في أطوار النضج النهائية، ولو أن نسبة الحموضة الى السكريات تبدأ عالية ثم تقل تدريجيا بتقدم العمر ويكون الانخفاض بطيئاً في أول الموسم ويزداد بسرعة في نهايته عندما تصل الثمار إلى درجة عالية من النضج. أما في حالة الليمون الاضاليا والبلدي فتظل كمية الحموضة ثابتة وتزداد الثمار عصيرية بتقدمها في التطور حتى تصل الى نسبة عالية من العصير تتراوح ما بين ٥٠ - ۷۰ % حسب الانواع والاصناف المختلفة عند اكتمال النمو وتزداد عن ذلك قليلا عند النضج.
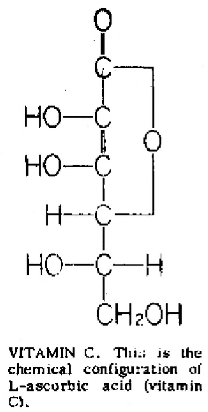
شكل يبين التركيب الكيميائي لفيتامين C أو حمض الاسكوربيك
تحتوي ثمار الحمضيات على أنواع مميزة من الجلوكوسيدات مثل النارنجين Naringin والهيسبدين Hesperidin بعضها مر والبعض الآخر عديم الطعم. توجد في غلاف الحز وفي الجزء الابيض من القشرة المعروف باسم الالبيدو. أما الفيتامينات وخاصة فيتامين C وبعض من المكونات الهامة للثمار فالعادة أنها تبدأ عالية وتستمر في الزيادة قليلا حتى تصل الثمار الي طور اكتمال النمو ثم تنخفض قليلا بعد ذلك، ولو أن فيتامين C قد يستمر في الزيادة حتى مرحلة نضج الثمار.
تأثير موعد القطف ودرجه النضج على التركيب الكيماوي لثمار الليمون البلدي

الاكثر قراءة في مقالات منوعة عن الحمضيات
اخر الاخبار
اخبار العتبة العباسية المقدسة
الآخبار الصحية

قسم الشؤون الفكرية يصدر كتاباً يوثق تاريخ السدانة في العتبة العباسية المقدسة
"المهمة".. إصدار قصصي يوثّق القصص الفائزة في مسابقة فتوى الدفاع المقدسة للقصة القصيرة
(نوافذ).. إصدار أدبي يوثق القصص الفائزة في مسابقة الإمام العسكري (عليه السلام)