Erwin Schrodinger and Louis de Broglie

Matter Waves
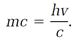
De Broglie's argument began with the supposition that “the basic idea of quantum theory is the impossibility of considering an isolated fragment of energy without assigning a certain frequency to it.” The particles of radiation and of matter as well had a level of existence that was fundamentally a “periodic process.” Such was the physical content of the Planck-Einstein equation E = hv, with its energy term E and its frequency factor v. De Broglie also pointed out that a photon's wavelength, a wave property, could be related to the photon’s momentum, a particle property, by combining E = hv with another energy equation,
E = mc2,
derived from special relativity. The two equations combined read
E = hv = mc2,
from which we obtain

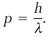
Because the photon's speed is c, the term mc in the last equation can be regarded as the photon's momentum p, so
(1)
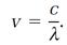
Switching now from the particle viewpoint and momentum considerations to the wave viewpoint, we make use of the equation λv = c, which connects the wavelength λ, frequency v, and speed c of light waves, to calculate v with

When this way of expressing the frequency is substituted into the momentum equation (1), the result is
(2)
This equation still refers to photons, but de Broglie saw no reason why electrons and other particles of matter, since they, too, were “isolated fragments of energy,” should not also have associated frequencies and wavelengths. In a derivation of more complexity than the one outlined here but beginning with the energy equation mc2 = hv de Broglie justified the momentum equation (2) for all kinds of material particles. This was de Broglie’s major contribution. It suggested that electrons, and all other particles of matter, not only had momentum and energy attributes, as J. J. Thomson had established several decades earlier, but also a mysterious wavelength.
So de Broglie's momentum-wavelength equation (2) joined the Planck-Einstein energy-frequency connection E = hv as another duality equation with a particle quantity (the momentum p) on one side, a wave quantity (the wavelength λ) on the other, and the ever-present Planck's constant h standing between.
Electron Waves Observed
The experimental discovery of electron waves predicted by de Broglie's theory was finally reported in 1927, by Clinton Davisson and Lester Germer in the United States, and by G. P. Thomson (the only son of J. J. Thomson, who was the first to see electrons as particles) in England.
The Davisson-Germer experiments, more complete and definitive than those of Thomson, evolved over almost a decade of difficult experimental development. As the experiments were finally and most successfully done, an electron beam of a precisely determined low energy was formed and directed at a specially prepared face of nickel crystal, and scattered portions of the beam were collected by a moveable detector. Experiments with this apparatus showed that electrons were not scattered uniformly in all directions. Instead, under certain conditions, a sharply defined current of electrons was observed in a direction for which the angle of incidence on the crystal’s surface was equal to the angle of reflection. If, to the electrons, the nickel surface were entirely smooth and flat, this result would not have been surprising: throw a rubber ball at a smooth wall and it always bounces off at an angle equal to the angle of incidence. But to particle like electrons, a nickel surface cannot conceivably be smooth: electrons in the form of particles are much smaller and less massive than nickel atoms. Reflection of electron particles from a nickel surface is, in Davisson's apt description, “like imagining a handful of bird shot being regularly reflected by a pile of large cannon balls.” The difficulty is that a “surface made up of large cannon balls is much too coarse-grained to serve as a reflector for particles as small as bird shot.”
Davisson and Germer successfully analyzed their data by treating the electron beam as if it were a beam of x rays displaying its wave manifestations. Lawrence Bragg had treated the reflection of x-ray waves from crystal planes by imagining the effect produced on individual rays. A “primary” ray was reflected at the crystal face and joined by “secondary” rays reflected by successive layers of atoms in the crystal. The reflected rays, both primary and secondary, formed a concerted and reinforced wave front if all the waves joined in step, crests falling on crests, and troughs on troughs. Bragg's equation guaranteed this condition, and he applied the equation to the determination of crystal structures.
Davisson and Germer found that they could unravel their mysterious data if they discarded the previously accepted picture of an electron beam as a shower of particles and assumed instead that the Bragg equation applied. This was impressive evidence for the theoretical viewpoint expressed by de Broglie at about the same time Davisson and Germer started their experiments. Design and interpretation of the experiments might well have been guided by de Broglie's theory, because with elaborations the theory predicted everything Davisson and Germer observed. But, as we have seen, experimentalists are not always in close touch with theorists, and vice versa. Davisson and Germer did not read de Broglie's paper and then set out on a systematic search for electron waves; their experiments originated in litigation, a famous patent suit.
The principal parties to the suit were the General Electric and Western Electric Companies. General Electric had applied for a basic patent on a three-electrode (triode) vacuum tube that was similar to a design already owned by Western Electric. It was the contention of General Electric that theirs was a high-vacuum device, whereas the Western Electric tube required appreciable air for its operation. According to the General Electric argument, the air molecules formed positive ions that then bombarded the oxide surface of the tube's cathode, releasing electrons the tube needed for its operation. Western Electric hoped to refute this argument by gathering experimental evidence on the effects of positive-ion bombardment on oxide surfaces. The work was started by Germer under Davisson's direction at the Western Electric Laboratories. The General Electric claim was disproved, and the suit was eventually decided in Western Electric's favor.
The bombardment experiments were continued after the settlement of the suit, however, and extended to include bombardment of bare metal surfaces from which the oxide coating was removed. As Germer remarks, it was also possible, “by changing a few potentials on some of the electrodes, to measure emission under electron bombardment.” So the work that finally led to an elegant demonstration of electron waves was “undertaken as a sort of sideline.” The electron studies were continued for several years, and the data showed an increasingly complex and strange pattern. A major clue was revealed accidentally when a flask of liquid air exploded and shattered the evacuated tube containing the nickel target. Reconstructing the apparatus required cleaning the nickel surface by degassing at high temperatures. This had the unforeseen effect of forming a few large nickel crystals not present in the original target. The complexities were now traced to the crystals, and experiments were started with a single nickel crystal whose reflection planes could be oriented in a controlled manner.
Up to this time it was now 1926 Davisson and Germer were unaware of de Broglie's theory of electron waves. At a meeting of the British Association for the Advancement of Science in Oxford, Davisson heard of the new wave theory and realized that the patterns of the bombardment data, which he and Germer were already finding suggestive of x-ray behavior, actually told a story of wave phenomena. “The experiments were at once guided by the theory,” writes Germer, “and were quickly successful.” Davisson shared a Nobel Prize in 1937 with the other discoverer of electron waves, G. P. Thomson, who tells us that the inspiration for his work with electron waves came while watching another experiment that later gave results that were “quite erroneous and entirely instrumental in origin.”
The Heart of Quantum Mechanics
Schrodinger's equation has a property that is, to the mathematician, routine and unexciting. The equation is “linear,” meaning that if it has the solutions ψ1 and ψ2, then it also has the “superposition” solution ψ= ψ1 + ψ2. Experimentalists, who make a living testing mathematical pronouncements of theorists, have found

Figure 1.1. The two-slit experiment.
ingenious ways to observe superposition states, and their investigations have led them beyond the mathematics to what Richard Feynman calls “the heart of quantum mechanics.”
The prototype of experiments designed to demonstrate superposition states consists of a light source, two diaphragms, one containing a single slit and the other a double slit, and a photographic plate serving as a detector (fig. 1.1). If the wavelength λ of the light is small compared to the distance a between the double slits, bright and dark bands appear on the plate, with centers of the bright bands separated by the distance λD/a, D being the distance between the double slit and the photographic plate.
Since the early nineteenth century, bright and dark bands in experiments of this kind have been accepted as evidence of “interference” phenomena. Light is pictured as a wave train, which is “diffracted” (spread out) after passing through a slit. The double slit forms two diffracted wave trains that overlap (fig. 1.2). In the region of the overlap there can be both cancellation, where crests from one wave train fall on troughs from the other, and reinforcement, where wave crests fall on crests and troughs on troughs. Bright bands appear where there is reinforcement and dark bands where there is cancellation. All of this is easily expressed in the mathematical language of Schrodinger's wave mechanics. The separate diffracted wave trains are designated by the two wave functions ψ1 and ψ2, and the overlapping region, where interference occurs, by the superposition ψ1 + ψ2 (fig. 1.3).
Normally, the two-slit experiment is performed with a strong light source that sends many photons into the apparatus at the same time, but it can also be done with a source so weak that only one photon at a time traverses the space between the double-slit diaphragm and the photographic plate. Even in this situation, if enough time is allowed for many photons to be detected by the plate, the usual interference pattern of bright and dark bands is displayed.
This is, as Feynman remarks, “a phenomenon which is impossible, absolutely impossible, to explain in a classical way.” The problem is that the experiment confronts us with the spectacle of a single photon interfering with itself. The

Figure 1.2. Diffraction and interference in the two-slit experiment.
photon passes through both slits, forms a superposition state represented by ψ1 + ψ2, and an interference pattern is the result. There is no escape from this weird conclusion. If we close one slit, or otherwise force the photon through one slit, the interference pattern disappears.
How can a single photon pass through two separate slits at the same time? Feynman is not reassuring about finding explanations for the mystery of such interference experiments. “We cannot explain the mystery in the sense of ‘explaining’ how it works. We will tell you how it works. In telling you how it works we will have told you about the basic peculiarities of all quantum mechanics.” John Wheeler characterizes a photon in an interference apparatus as a “smoky dragon.” It shows its tail, where it originates, and its mouth, where it is detected, but elsewhere there is smoke: “in between we have no right to speak about what is present.”
Such quantum weirdness is not restricted to photons. Interference experiments forcing the same conclusions have also been performed with beams of electrons,

Figure 1.3. Wave functions for the two-slit experiment.
neutrons, and even atoms. All these entities display their wave nature in welled fined interference patterns and are just as smoky as photons as they travel through the apparatus.
الاكثر قراءة في علماء الفيزياء
اخر الاخبار
اخبار العتبة العباسية المقدسة