تفاعلات السكريات الأحادية
المؤلف:
أ. د محمد مجدي واصل
المصدر:
اساسيات الكيمياء العضوية
الجزء والصفحة:
ص 489-490-491-492-493-494-495-496-497-498-499
2023-09-11
5209
للسكريات الأحادية تفاعلات متعددة تعود إلى وجود مجموعة الألدهايد والكيتون والكحول وتلعب خصوصية هذه السكريات وتعدد هذه المجاميع أدواراً لتميز هذه المركبات عن غيرها .
أ- تفاعلات مجاميع الالدهايد والكيتون :
(1) تفاعلات السكريات مع الهيدرازين
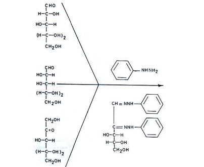
يتفاعل الفنيل هيدرازين ومركباتها المعوضية مع السكريات الأحادية والكربوهيدرات ذات مجموعة الالدهايد أو الكيتون مكونة الهيدرازون Hydrazones والـ او سازون Osazones

ويتحلل الـ Osazones مائيا إلى Osones عندما يتعامل مع حامض مركز

ويستفاد من تفاعل الأوزون لمعرفة ترتيب مجموعات الهيدروكسيل للسكريات الأحادية فمثلاً يعطي كل من الجلوكوز ، الفركتوز والمانوز نفس الـ Osazone الناتج من خلال تفاعله مع Phenyl Hydraine وبالتحديد تشترك ذرتي الكربون 1 و 2 بالتفاعل موضحاً بالتفاعل التالي :

(2) الاختزال وتكوين السكريات الكحولية :
يختزل كل من الـ Aldose والـ Ketoses إلى الكحول المتعدد لمجاميع الهيدروكسيل وتتحول المجموعة الالدهايدية إلى كحول أولي وتتحول المجموعة الكيتونية إلى كحول ثاني .
ويتكون من كل سكر تابع لـ Aldose نوع واحد من السكر الكحولي ومن السكريات الكيتونية نوعين من الكحولات السكرية ، فينتج من اختزال Glucose - السكر الكحولي ( Sorbitol D-)
ويتكون من اختزال Galactose السكر الكحولي Dulcitol ومن سكر الـ Mannose يتكون الـ Mannitol - أما اختزال الـ D- Fructose فينتج عنه خليط من Sorbitol - Dو
D- Mannitol
ويشتق اسم السكريات الكحولية من الاسم العام لمجموعة السكريات وذلك باستبدال الـ ( Ose – ( بالمقطع ( itol ) بعدها نحصل على الاسم العام للسكريات الكحولية ذات الكربون السداسي ( Hexitol ) تحتوي على خمسة ذرات كربون فيطلق عليها Pentitol
وتتم عملية الاختزال باستعمال ملغم الصوديوم Sodium Amalgam أو بالهدرجة تحت ضغط عال بوجود النيكل كعامل مساعد
(3) تأثير القلويات على السكريات الأحادية :
تتحسس السكريات الأحادية بالقلويات وتتأثر في القاعدة المعتدلة ، مثل Lime - Water المشبع وفي درجة حرارة الغرفة ، وتحدث لها تغيرات داخلية مختلفة في التركيب البنائي للسكر نتيجة انتقال بعض الذرات من موضعها إلى موضع آخر في الجزئ .
فتتحول السكريات بصورة سريعة الى خليط وتسمى تغيرات ( Lobry Debruyn - Alberda Van Ekenstein ) والتي تحدث فالسكريات التي تختلف في تركيب ذرتي الكربون الأولى والثانية والتي تماثل في تركيب باقي الجزئ مثل Fructose ، D- Mannose D- Glucose - نتيجة حدوث التغير الأيوني في هذا الوسط العادي .
فالجلوكوز يعطي خليط من Mannose و D- Fructose ، وذلك بانتقال ذرة الهيدروجين من ذرة الجلوكوز الثانية مكونة المركب ثنائية الانيول ( nediol - 12 ) ذات الرابطة الزوجية بين ذرتي الكربون الأولى والثانية والمركب هذا غير ثابت يتحول إلى الـ Mannose الـ Fructose .
فمثلاً عند معاملة الجلوكوز بـ 0.04 % NaOH ينتج عنه D- Fructose ( حوالي 30% ( غير المتغير ( %1) ويمكن تكون كميته صغيرة من Allulose - D في بعض الظروف من خلال Enediol ,2 ,32

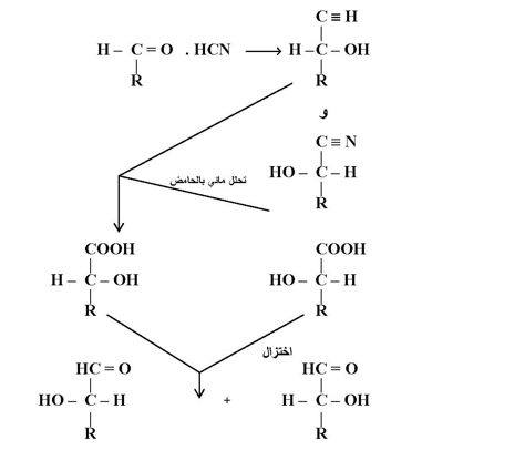
(4) مع سيانيد الهيدروجين :
تتفاعل الـ HCN مع مجموعة الالدهايد مكونة ذرة جديدة كربونية غير متناسقة ( Asymmetric ) ينتج عن هذا التفاعل نوعان من الـ Cyanohydrin

(5) مع هيدروكسيل أمين :
يندمج الهيدروكسيل الأمين مع الجلوكوز مثلاً وكذلك مع الالدوزرات والكيتونات الأخرى وينتج مع الجلوكوز مركب الأكريم ( Oximes )

(6) تأثير مختلف العوامل المؤكسدة :
أ - البروم :
يقوم البروم في وسط متعادل أو حامضي بأكسدة مجموعة بالالدهايد مكوناً حامض الــ Aldonic ويتصرف كعامل مؤكسد ضعيف لا يستطيع أكسدة الكيتونات كما يتصرف البروم كعامل مؤكسد قوي في الوسط القاعدي ولمجموعة الكيتونات ومجموعة الكحول الأولية مكوناً أحماضاً ثنائية الكربوكسيل
ويتأكسد الـ Aldose فى ماء البروم ويحول الالدهايد إلى مجموعة الكاربوكسيل مكوناً حامض الـ Aldonic عن طريق التفاعلات التالية :

فالجلوكوز يتأكسد إلى حامض Gluconic وبنفس الطريقة يتحول إلى Arabinose, Galactose , Mannose الى Mannoic , Galactoic , Arabonic على التوالي

ب - محاليل اليود القاعدية :
يتأكسد الـ Aldoses بصورة سريعة إلى حامض الـ Aldonic في المحيط القاعدي لليود حسب التفاعلات التالية :

وعند تسخين حامض الـ Gluconic ) Aldonic ) يتحرر الماء ويتكون خليط من جاما ودلتا لاكتون Lactone يحصل الاتزان في المحاليل المائية بين حامض الجلونيك واللاكتون بنوعيه الجاما والدلتا ، أما الأحماض السكرية الأخرى التي تملك خمسة ذرات كربون أو أكثر فلها نوعين من اللاكتون ، والتي فيها 4 ذرات كربون فتكون لاكتون واحد . ويمكن أن تختزل هذه اللاكتونات إلى السكريات المناسبة وذلك بمعاملتها بالصوديوم المملغم بوجود الكبريتيك المخفف

وعندما تتأكسد املاك الكالسيوم للأحماض الالدونية بواسطة بيروكسيد الهايدروجين بوجود Fe+++ . كعامل مساعد تتحرر CO2 ويبقى السكر الذي تنقصه ذرة كربون

جـ - الأكسدة بواسطة حامض فوق الايوديك :
يستعمل حامض فوق الايوديك لكسر الرابطة التي تربط مجموعات الهيدروكسيل المنفردة فمثلاً عند معاملة
- Methyl - D - Glucosideمع حامض فوق الايوديك بنفصل الرابطة بين ذرتي الكربون 2 و 3 وكذلك 3,4 ونتيجة لذلك ينفصل C2 وما عليها من مجموعة كحول تحت تأثير العامل المؤكسد
د - الأكسدة بحامض النتريك :
تعتبر المحاليل المخففة لهذا الحامض أحماضاً ضعيفة وبالتالي فهي تأكسد الـ Aldose إلى أحماض الدونية وعند زيادة تركيز حامض النتريك ( 50 ) تتأكسد المجموعة الالدهايدية ومجموعة الكحول الأولي لتكوين أحماض الـ Aldaric أو الـ Saccharic

تضاف التابع Sacchari لاسم السكر فالـ glucosaccharic يعني السكر المتكون من أكسدة الجلوكوز في مجموعتيه الالدهايد والكحول الأولي أو يمكن إضافة التابع aric للسكر الذي يتأكسد مثل Xylaric,Glucaric Arabaric
هـ - الأكسدة بوجود عامل مساعد :
وعند أكسدة الالدوز تتحول مجموع عة الكحول الأولية إلى الكاربوكسيل بدون أكسدة الالدهايد ويتكون حينئذ حامض اليورونيك وعليه يجب المحافظة على مجموعة الالدهايد من الأكسدة بوقايتها عن طريق تحويلها إلى الكلاسكوسايد أو مشتق اسيتوني مثل
1.2 - O - Isoproy Lidene - D Glucose -1.2

ويمكن رفع Isopropy lidene بالاسيتون لتكوين حامض D - glucuronic
الاكثر قراءة في مواضيع عامة في الكيمياء الحياتية
اخر الاخبار
اخبار العتبة العباسية المقدسة