
تاريخ الفيزياء

علماء الفيزياء


الفيزياء الكلاسيكية

الميكانيك

الديناميكا الحرارية


الكهربائية والمغناطيسية

الكهربائية

المغناطيسية

الكهرومغناطيسية


علم البصريات

تاريخ علم البصريات

الضوء

مواضيع عامة في علم البصريات

الصوت


الفيزياء الحديثة


النظرية النسبية

النظرية النسبية الخاصة

النظرية النسبية العامة

مواضيع عامة في النظرية النسبية

ميكانيكا الكم

الفيزياء الذرية

الفيزياء الجزيئية


الفيزياء النووية

مواضيع عامة في الفيزياء النووية

النشاط الاشعاعي


فيزياء الحالة الصلبة

الموصلات

أشباه الموصلات

العوازل

مواضيع عامة في الفيزياء الصلبة

فيزياء الجوامد


الليزر

أنواع الليزر

بعض تطبيقات الليزر

مواضيع عامة في الليزر


علم الفلك

تاريخ وعلماء علم الفلك

الثقوب السوداء


المجموعة الشمسية

الشمس

كوكب عطارد

كوكب الزهرة

كوكب الأرض

كوكب المريخ

كوكب المشتري

كوكب زحل

كوكب أورانوس

كوكب نبتون

كوكب بلوتو

القمر

كواكب ومواضيع اخرى

مواضيع عامة في علم الفلك

النجوم

البلازما

الألكترونيات

خواص المادة


الطاقة البديلة

الطاقة الشمسية

مواضيع عامة في الطاقة البديلة

المد والجزر

فيزياء الجسيمات


الفيزياء والعلوم الأخرى

الفيزياء الكيميائية

الفيزياء الرياضية

الفيزياء الحيوية

الفيزياء والفلسفة

الفيزياء العامة


مواضيع عامة في الفيزياء

تجارب فيزيائية

مصطلحات وتعاريف فيزيائية

وحدات القياس الفيزيائية

طرائف الفيزياء

مواضيع اخرى
توليد الأشعة السينية (أشعة إكس)
المؤلف:
أ.د. نعيمة عبد القادر أحمد / أ.د. محمد أمين سلمان
المصدر:
علم البلورات والاشعة السينية
الجزء والصفحة:
ص91–93
2023-09-19
2253
اكتشفت الأشعة السينية عام 1895 على أيدي رونتجن وتأكدت طبيعتها الموجية عام 1913 عندما أجريت أولى تجارب الحيود التي اقترحها «فون لاوا». ثم بينت التجارب اللاحقة أن الأشعة السينية موجات مستعرضة وأنها موجات كهرومغناطيسية.
يتراوح الطول الموجي للأشعة السينية بين Å 0.1 (وهو الحد الأدنى لأشعة جاما و 100 Å (وهو الحد الأقصى للموجات فوق البنفسجية). ويناظر هذا المدى تراوح طاقتها من keV 0.1 إلى keV 100
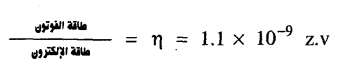
وتحسب طاقة الفوتون من الأشعة السينية (بوحدات الفولت الإلكتروني eV) والذي طول موجته (بالأنجستروم Å) من العلاقة:

ويتراوح الطول الموجي للأشعة السينية المستخدمة في مجال دراسة التركيب البلوري بين Å 0.5 وÅ 2.5.
وتنشأ الأشعة السينية عندما يصطدم إلكترون تم تعجيله في مجال كهربائي بهدف مصنوع من مادة فلزية ويسمى هذا الهدف المصعد. ولا تتحول كل طاقة الإلكترون المعجل إلى طاقة إشعاعية – لأسباب كثيرة – ولذلك اصطلح على تعريف مقدار يسمى بكفاءة توليد الأشعة السينية ((η.

حيث Z العدد الذرى للمصعد وV الجهد الكهربائي المستخدم في تعجيل الإلكترونات مقاسا بالفولت وقد تصل كفاءة مصعد التنجستن، مثلا، إلى نحو 0.8% إذا كان يعمل عند جهد مقداره kV 100

شكل (3-1)
انبوبة حديثة لإنتاج الاشعة السينية
1- مصعد. 2- مرشح 3- فتيل 4- نافذة من البريليوم 5- التجميع في بؤرة
يبين الشكل (3-1) أنبوبة حديثة لإنتاج الأشعة السينية بالأنبوبة مصعد مصنوع من الصلب وبها أربع نوافذ مصنوعة من عنصر البريليوم الذي يعتبر شفافا بالنسبة للأشعة السينية. ويتصل المصعد بكتلة من النحاس تتخللها أنابيب دقيقة يمر بها ماء للتبريد.
وتنتهي الأنبوبة بعنق زجاجي ثبتت بقاعه التوصيلات الكهربائية. ويحتفظ بالأنبوبة تحت تفريغ عال لتجنب حدوث أكسدة للأجزاء المعدنية المعرضة لارتفاع درجة حرارتها، وحتى لا يحدث انهيار كهربي بين عناصرها التي بينها فرق مرتفع للجهد.
من أهم العناصر داخل الأنبوبة أيضا فتيل من التنجستن يتم تسخينه بتيار كهربائي متردد، ويمكننا تغيير شدة التيار للحصول على درجة حرارة تسمح بالحصول على مستوى معين من الانبعاث الإلكتروني الذي يحدد بدوره مستوى تيار الأنبوبة.
ودائما ما يكون جهد الفتيل سالبا بالنسبة لجهد المصعد الذي يظل عند جهد الأرض (أي صفرا). وقد اختير هذا النظام من أجل سلامة الأنبوبة وكفاءة عملها. يتم تركيز الشعاع الإلكتروني بواسطة غطاء معدني، فيسقط الشعاع على منطقة مستطيلة الشكل وصغيرة المساحة من الهدف، كما أن هناك مجمعات تتيح الحصول على شعاع من الأشعة السينية ذي شكل وهندسة محددتين لدى خروجه من الأنبوبة.
وتتراوح القدرة الكهربائية المستهلكة في أنبوبة معتادة بين 1.5 إلى 2 كيلووات.
ويلاحظ أن معظم هذه القدرة يتحول إلى طاقة حرارية قد تؤدي إلى انصهار مادة المصعد وتدميره ولهذا كان من الواجب إدارة المصعد حتى تتوزع الحرارة عليه. وبعد خروج الأشعة السينية من نوافذ البريليوم، يأتي دور المرشحات اللازمة لاستبعاد بعض الأطوال الموجية والسماح للبعض الآخر.
الاكثر قراءة في الفيزياء الذرية
اخر الاخبار
اخبار العتبة العباسية المقدسة
الآخبار الصحية

قسم الشؤون الفكرية يصدر كتاباً يوثق تاريخ السدانة في العتبة العباسية المقدسة
"المهمة".. إصدار قصصي يوثّق القصص الفائزة في مسابقة فتوى الدفاع المقدسة للقصة القصيرة
(نوافذ).. إصدار أدبي يوثق القصص الفائزة في مسابقة الإمام العسكري (عليه السلام)