ظاهرة الامتصاص والتحليل الكمي					
				 
				
					
						
						 المؤلف:  
						أ.د. نعيمة عبد القادر أحمد / أ.د. محمد أمين سلمان					
					
						
						 المصدر:  
						علم البلورات والاشعة السينية					
					
						
						 الجزء والصفحة:  
						ص303–304					
					
					
						
						2023-10-04
					
					
						
						1895					
				 
				
				
				
				
				
				
				
				
				
			 
			
			
				
				إن مجرد النظرة البسيطة لشكل الحيود من مخاليط المسحوق يوضح أن ظاهرة الامتصاص تعوق المقارنة المباشرة بين شدة الانعكاسات للمكونات المختلفة في المخلوط، فالمكونات تحتوي على مواد معامل امتصاصها للأشعة صغير وأخرى معامل امتصاصها كبير حيث يؤدي ذلك إلى خطأ في تعيين نسبة المكونات، وقد توصل العالمان ألكسندر وكلوج Alexander and Klug إلى الطريقة العملية الآتية للتحليل الكمي للمخاليط.
تعامل العينة على أنها خليط متجانس من عدد n من المكونات على أن تكون ذات سمك صغير لتعطي أشعة حيود لها الشدة القصوى، وفي هذه الظروف فإنه للمكون i مثلا في المخلوط تكون الشدة الكلية لأشعة الحيود من مستوى (hkl) من الممكن أن تعطى بالمعادلة:

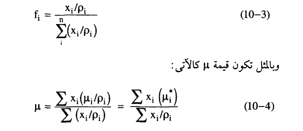
حيث تعتمد ki على المكون i وكذلك على هندسة الجهاز، fi هي النسبة الحجمية للمكون i، μ هي معامل الامتصاص للخليط. وإذا كانت xi هي النسبة الوزنية، ρi  هي كثافة المكون i فإنه يمكن كتابة المعادلة كالآتي:
 
حيث μi هي معامل الامتصاص للمكون i، ρi / iμ = μi* هي معامل الامتصاص الكتلي.
وبالتعويض بالمعادلتين (3-10)، (4-10) في المعادلة (2-10) نحصل على:
 
أحد الطرق التي تتبع في حالة الخليط لعدد n من المكونات هو اعتبار العينة تتكون من مكونين فقط؛ المكون الأول هو الذي يراد تعيين نسبته ومجموع باقي المكونات التي تسمى الوسط أو النسيج matrix وبذلك تكون النسبة الوزنية للمكون i في الوسط M هي:
 
والمعادلة (8-10) تعتبر هي العلاقة التي على أساسها يبنى كل تحليل كمي باستخدام حيود الأشعة السينية.
				
				
					
					
					 الاكثر قراءة في  الفيزياء الكيميائية					
					
				 
				
				
					
					
						اخر الاخبار
					
					
						
							  اخبار العتبة العباسية المقدسة