
تاريخ الفيزياء

علماء الفيزياء


الفيزياء الكلاسيكية

الميكانيك

الديناميكا الحرارية


الكهربائية والمغناطيسية

الكهربائية

المغناطيسية

الكهرومغناطيسية


علم البصريات

تاريخ علم البصريات

الضوء

مواضيع عامة في علم البصريات

الصوت


الفيزياء الحديثة


النظرية النسبية

النظرية النسبية الخاصة

النظرية النسبية العامة

مواضيع عامة في النظرية النسبية

ميكانيكا الكم

الفيزياء الذرية

الفيزياء الجزيئية


الفيزياء النووية

مواضيع عامة في الفيزياء النووية

النشاط الاشعاعي


فيزياء الحالة الصلبة

الموصلات

أشباه الموصلات

العوازل

مواضيع عامة في الفيزياء الصلبة

فيزياء الجوامد


الليزر

أنواع الليزر

بعض تطبيقات الليزر

مواضيع عامة في الليزر


علم الفلك

تاريخ وعلماء علم الفلك

الثقوب السوداء


المجموعة الشمسية

الشمس

كوكب عطارد

كوكب الزهرة

كوكب الأرض

كوكب المريخ

كوكب المشتري

كوكب زحل

كوكب أورانوس

كوكب نبتون

كوكب بلوتو

القمر

كواكب ومواضيع اخرى

مواضيع عامة في علم الفلك

النجوم

البلازما

الألكترونيات

خواص المادة


الطاقة البديلة

الطاقة الشمسية

مواضيع عامة في الطاقة البديلة

المد والجزر

فيزياء الجسيمات


الفيزياء والعلوم الأخرى

الفيزياء الكيميائية

الفيزياء الرياضية

الفيزياء الحيوية

الفيزياء العامة


مواضيع عامة في الفيزياء

تجارب فيزيائية

مصطلحات وتعاريف فيزيائية

وحدات القياس الفيزيائية

طرائف الفيزياء

مواضيع اخرى
الجسيمة وضديدها Particle and its antiparticle
المؤلف:
سعد ناجي عبود
المصدر:
مقدمة في فيزياء الطاقة العالية والاشعاع الكوني
الجزء والصفحة:
ص9–10
2023-11-13
1791
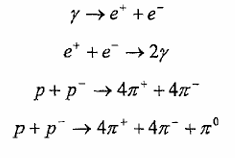
الجسيمة وضديدها جسيمتان لهما نفس الكتلة، والزخم البرمي spin والزخم الأيزوباري isospin، ولكنهما تختلفان عن بعضهما بالشحنة والعزم المغناطيسي والمركبة الثالثة للزخم الأيزوباري وصفات أخرى ستذكر مستقبلا. يرمز لضديد الجسيمة بنفس رمز الجسيمة مع وضع خط عليه أو قد يستعاض عنه بتغيير الشحنة المذكورة على الرمز. فمثلا البروتون p وضديده p̅، والنيوترون n وضديده n̅ والنيوترينيو v وضديده v̅، الإلكترون e̅ وضديده e+ والبايون الموجب +π وضديده البايون السالب π̅ والكايون السالب K̅ وضديده الكايون الموجب K+ والكايون المتعادل K0 وضديده K0- وهناك جسيمات هي نفسها تمثل أضدادها مثل الفوتون γ وجسيمة الكرافيتون g (غير المكتشف لحد الآن)، 0π، 0η، 0ω. ولقد أفترض وجود أضداد الجسيمات قبل اكتشافها أو مشاهدتها وتنبأ ديراك (Dirac) بوجودها نظريا لأن وجودها ضرورة تقتضيها قوانين النظرية النسبية وقوانين الميكانيك الكم. وأول ضديد يكتشف كان البوزترون e+ وكان ذلك في عام 1933 من قبل كارل أندرسون عندما كان يحلل الأشعة الكونية في غرفة الغيوم (cloud chamber) وفي عام 1955 أكتشف ضديد البروتون ثم بعدها أكتشف ضديد النيوترون.
ومن المهم أن نؤكد أن خلق جسيمة ما في تفاعل ما يكون مصحوبا بخلق ضديدها في آن واحد أو تخلق مع ضديد جسيمة أخرى، وحيث لا يمكن لأحدهما أن يخلق دون الآخر (من التجربة).

من ناحية أخرى عند التقاء جسيمة ما بضديدها فأنهما سيمحوان أحدهما الأخرى:

أن هاتين الظاهرتين خلق الجسيمة مع ضديدها ومحو أحدهما للأخرى قد أدت إلى ظهور بعض القوانين قانون حفظ أعداد الجسيمات الثقيلة (العدد الكمي الباريوني)، قانون حفظ أعداد الجسيمات الخفيفة (العدد الكمي اللبتوني)، قانون حفظ الغرابة.
الاكثر قراءة في فيزياء الجسيمات
اخر الاخبار
اخبار العتبة العباسية المقدسة
الآخبار الصحية

قسم الشؤون الفكرية يصدر كتاباً يوثق تاريخ السدانة في العتبة العباسية المقدسة
"المهمة".. إصدار قصصي يوثّق القصص الفائزة في مسابقة فتوى الدفاع المقدسة للقصة القصيرة
(نوافذ).. إصدار أدبي يوثق القصص الفائزة في مسابقة الإمام العسكري (عليه السلام)