

علم الكيمياء

تاريخ الكيمياء والعلماء المشاهير

التحاضير والتجارب الكيميائية

المخاطر والوقاية في الكيمياء

اخرى

مقالات متنوعة في علم الكيمياء

كيمياء عامة


الكيمياء التحليلية

مواضيع عامة في الكيمياء التحليلية

التحليل النوعي والكمي

التحليل الآلي (الطيفي)

طرق الفصل والتنقية


الكيمياء الحياتية

مواضيع عامة في الكيمياء الحياتية

الكاربوهيدرات

الاحماض الامينية والبروتينات

الانزيمات

الدهون

الاحماض النووية

الفيتامينات والمرافقات الانزيمية

الهرمونات


الكيمياء العضوية

مواضيع عامة في الكيمياء العضوية

الهايدروكاربونات

المركبات الوسطية وميكانيكيات التفاعلات العضوية

التشخيص العضوي

تجارب وتفاعلات في الكيمياء العضوية


الكيمياء الفيزيائية

مواضيع عامة في الكيمياء الفيزيائية

الكيمياء الحرارية

حركية التفاعلات الكيميائية

الكيمياء الكهربائية


الكيمياء اللاعضوية

مواضيع عامة في الكيمياء اللاعضوية

الجدول الدوري وخواص العناصر

نظريات التآصر الكيميائي

كيمياء العناصر الانتقالية ومركباتها المعقدة


مواضيع اخرى في الكيمياء

كيمياء النانو

الكيمياء السريرية

الكيمياء الطبية والدوائية

كيمياء الاغذية والنواتج الطبيعية

الكيمياء الجنائية


الكيمياء الصناعية

البترو كيمياويات

الكيمياء الخضراء

كيمياء البيئة

كيمياء البوليمرات

مواضيع عامة في الكيمياء الصناعية

الكيمياء الاشعاعية والنووية
أنواع تقنية الهجرة الكهربائية
المؤلف:
د. طارق يونس احمد / د. لؤي عبد علي الهلالي
المصدر:
الكيمياء الحياتية
الجزء والصفحة:
ج 1 ص 388-391
2023-11-29
2587
1- الهجرة الكهربائية الورقية Paper electrophoresis
من الطرائق الأكثر استعمالاً في فصل الجزيئات الصغيرة واقل استعمالاً للمركبات ذات الجزيئات الكبيرة (مثل البروتينات) بسبب حدوث تغير في طبيعة البروتينات (المسخ).
2- الهجرة الكهربائية التي تستعمل خلات السليلوز ونترات السليلوز Cellulose acetate and cellulose nitrate electrophoresis
تستعمل في هذه الطريقة كميات قليلة من العينة إذ تستعمل أشرطة تتركب من نترات السليلوز وخــلات السليلوز وسطاً سانداً في الهجرة الكهربائية. إذ يمكن الاستفادة من هذه التقنية لتخفيف مشاكل الحرارة المتولدة أثناء الفصل الكهربائي ويمكن إجراء عملية الفصل تحت ظروف درجة حرارة المختبر كذلك فـصل بروتينات الدم ومتابعة توزيع الإنزيمات المتناظرة في هذه التقنية.
إن أغشية خلات السليلوز ليست قوية بشكل كافٍ فهي هشة عندما تكون جافة وضعيفة عندما تكون رطبة ولهذا أدى ذلك الى استعمال تقنيات الطبقة الرقيقة الأخرى حيث يثبت ساند الهجرة الكهربائي على لوح خامل بطريقة مماثلة لتقنية TLC فقد استعمل السليلوز على الزجاج أو البلاستيك بالوضع الأفقي مع شرائح ورقية لإجراء التوصيل في حوض القطبين.
3- الهجرة الكهربائية الهلامية Gel electrophoresis
يستخدم في هذه التقنية وسط مساند من الهلام (الجيل) ذي التأصر الجسري المتعدد Cross linking ولهذه الطريقة فوائد أهمها:
أ- استخدام عدد كبير من النماذج أكثر من تلك المستخدمة في خلات ونترات السليلوز. ب- يمكن تغيير تركيبة الهلام استناداً الى الطريقة المطلوبة بإضافة سلاسل متعددة من مركبات متعدد
التأصر الجسري. هنالك عدة أنواع من الهلام تستخدم في مختبرات الكيمياء الحياتية منها هلام النشا Starch gel وهلام الأكاروز Agarose وكذلك هلام متعدد الأكريل أميد Polyacrylamide
4- الهجرة الكهربائية بوجود المادة المطهرة كبريتات الدوديكايل صوديوم (Sodium dodecyl sulphate (SDS
يستفاد من هذه التقنية لتشخيص عدد السلاسل الببتيدية وتقدير أوزانها الجزيئية ولتوضيح ذلك:
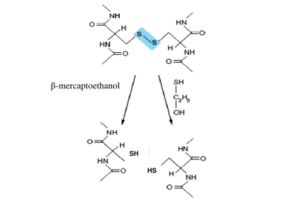
أ- يعامل البروتين أولاً مع المركبات التي تحتوي على مجموعة الثايول (SH-) مثل بيتا- مركبتوإيثانول -mercaptoethanol β أو داي ثايو ثريتول Dithiothreitol لتكسير الأواصر ثنائية الكبريتيد الموجودة في البروتين وتحويلها الى الشكل المختزل كما في المعادلة الآتية:

ب- ان مادة SDS تعمل على تفكيك البروتين معطياً سلاسل متغيرة الأحجام محاطة بجزيئات SDS ذات الشحنة السالبة الشكل (15-13) وتتحرك هذه السلاسل بالهجرة الكهربائية معتمدة على الأوزان الجزيئية للسلاسل الببتيدية فقط.

ج- متعدد الأكريل أميد Polyacrylamide : ان متعدد الأكريل أميد المستخدم في تقنية الهجرة الكهربائية يتكون من بلمرة الوحدات الأحادية للأكريل أميد وثنائي الأكريل أميد Bisacrylamide بوصفه رابطاً جسرياً Cross linker بوجود العامل المساعد فوق كبريتات الصوديوم Sodium persulfate أو رايبوفلافين لتكـوين الجذور الحرة وربـاعي مثيل اثيل ثنـائي الأمـين البلمرة (Tetramethyl ethylene diamine (TEMED الشكل (16-13) الذي يساعد في عملي وتكوين بوليمر هلامي ذي تأصر جسري بأحجام مختلفة اعتماداً على تركيز الأكريل أميـد. ان عمليــة البلمرة تكون بطيئة أو تتوقف بوجود الأوكسجين فيفضل التفريغ من الغازات Degassing حين إجراء عملية البلمرة.

الاكثر قراءة في مواضيع عامة في الكيمياء التحليلية
اخر الاخبار
اخبار العتبة العباسية المقدسة
الآخبار الصحية

قسم الشؤون الفكرية يصدر كتاباً يوثق تاريخ السدانة في العتبة العباسية المقدسة
"المهمة".. إصدار قصصي يوثّق القصص الفائزة في مسابقة فتوى الدفاع المقدسة للقصة القصيرة
(نوافذ).. إصدار أدبي يوثق القصص الفائزة في مسابقة الإمام العسكري (عليه السلام)