النمط الأول
النمط الثاني
الرئيسية
الأخبار
صور
فيديو
صوت
أقلام
مفتاح
رشفات
المشكاة
منشور
اضاءات
ثقف
قصص
الرياضيات
تاريخ الرياضيات
الاعداد و نظريتها
تاريخ التحليل
تار يخ الجبر
الهندسة و التبلوجي
الرياضيات في الحضارات المختلفة
العربية
اليونانية
البابلية
الصينية
المايا
المصرية
الهندية
الرياضيات المتقطعة
المنطق
اسس الرياضيات
فلسفة الرياضيات
مواضيع عامة في المنطق
الجبر
الجبر الخطي
الجبر المجرد
الجبر البولياني
مواضيع عامة في الجبر
الضبابية
نظرية المجموعات
نظرية الزمر
نظرية الحلقات والحقول
نظرية الاعداد
نظرية الفئات
حساب المتجهات
المتتاليات-المتسلسلات
المصفوفات و نظريتها
المثلثات
الهندسة
الهندسة المستوية
الهندسة غير المستوية
مواضيع عامة في الهندسة
التفاضل و التكامل
المعادلات التفاضلية و التكاملية
معادلات تفاضلية
معادلات تكاملية
مواضيع عامة في المعادلات
التحليل
التحليل العددي
التحليل العقدي
التحليل الدالي
مواضيع عامة في التحليل
التحليل الحقيقي
التبلوجيا
نظرية الالعاب
الاحتمالات و الاحصاء
نظرية التحكم
بحوث العمليات
نظرية الكم
الشفرات
الرياضيات التطبيقية
نظريات ومبرهنات
علماء الرياضيات
500AD
500-1499
1000to1499
1500to1599
1600to1649
1650to1699
1700to1749
1750to1779
1780to1799
1800to1819
1820to1829
1830to1839
1840to1849
1850to1859
1860to1864
1865to1869
1870to1874
1875to1879
1880to1884
1885to1889
1890to1894
1895to1899
1900to1904
1905to1909
1910to1914
1915to1919
1920to1924
1925to1929
1930to1939
1940to the present
الرياضيات في العلوم الاخرى
بحوث و اطاريح جامعية
هل تعلم
طرائق التدريس
الرياضيات العامة
نظرية البيان
كسر عشري Decimal
المؤلف: صالح رشيد بطارسه
المصدر: معجم الرياضيات
الجزء والصفحة: 250
27-11-2015
1707
+
-
20
ويسمى أحياناً الصورة العشرية للعدد النسبي .
والكسر العشري نوعان هما منتهي ودوري وإليك البيان :
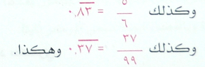
عند تحويل الكسر بصورة العادية إلى كسر بصورته العشرية فإننا نقسم بسطة على مقامه فإذا انتهت عملية القسمة نسمى الكسر الناتج كسراً عشرياً منتهياً كما في المثال
34=0,75 كسر عشري منتهي .
وعندما لا تنتهي عملية القسمة يسمى الكسر الناتج كسراً عشرياً دورياً Recaring Decimal
كما في الأمثل :
حيث الخط الصغير فوق العدد 7 يعني انه دوري .
اقتران واحد لواحد One by One Function
اقتران أسي Exponential Function
اقتران عكسي Inverse Function
أشكال فن Venn Diagrams
قسمة تركيبية Composition of Division
اقتران نسبي Rational Function
قانون دي مور جان De Morgan Rules
اقتران تكعيبي Cubic Function
اختبار الخط الرأسي Vertical line Experiment
اقتران أكبر عدد صحيح Greater Integer Function
مستوى ديكارتي Cartisian Plane
اقتران زوجي Even Function
متباينة المثلث Triangle Inequality
علاقة تكافؤ Equivalence Relation
مجموعة الأعداد الكلية Whole Numbers
في مستشفى الكفيل.. تقنية "إليزاروف" تنقذ شابًّا من معاناة طويلة
رئيس هيأة التربية والتعليم يطّلع على سير العملية التعليمية في جامعة العميد
المشاركون في الملتقى التربوي يطلعون على عدد من مشاريع العتبة العباسية المقدسة
ضمن فعاليات الملتقى التربوي.. قسم العلاقات ينظم ورشة تعريفية عن دور المنسق التربوي
دراسة تكشف الأفضل للصحة.. البيض البني أم الأبيض؟
أندر الأمراض.. نوم مستمر يحول الحياة إلى "كابوس"
ملعقة من زيت الزيتون يوميا.. ما تأثيرها على صحتك؟
هل يؤثر ذكاء الأطفال على أعمارهم؟.. دراسة حديثة تكشف العلاقة
علماء: "إنزيم الدهون" يخفي سرا مذهلا منذ 60 عاما
اكتشاف كيميائي على قمر زحل الشهير يغير المفاهيم العلمية
زلزال داخل ميتا.. إلغاء مئات الوظائف بقسم الذكاء الاصطناعي
ناسا تكشف: كوكب الأرض أصبح أقل لمعانا خلال العقود الماضية
اشترك بقناتنا على التلجرام ليصلك كل ما هو جديد