
تاريخ الفيزياء

علماء الفيزياء


الفيزياء الكلاسيكية

الميكانيك

الديناميكا الحرارية


الكهربائية والمغناطيسية

الكهربائية

المغناطيسية

الكهرومغناطيسية


علم البصريات

تاريخ علم البصريات

الضوء

مواضيع عامة في علم البصريات

الصوت


الفيزياء الحديثة


النظرية النسبية

النظرية النسبية الخاصة

النظرية النسبية العامة

مواضيع عامة في النظرية النسبية

ميكانيكا الكم

الفيزياء الذرية

الفيزياء الجزيئية


الفيزياء النووية

مواضيع عامة في الفيزياء النووية

النشاط الاشعاعي


فيزياء الحالة الصلبة

الموصلات

أشباه الموصلات

العوازل

مواضيع عامة في الفيزياء الصلبة

فيزياء الجوامد


الليزر

أنواع الليزر

بعض تطبيقات الليزر

مواضيع عامة في الليزر


علم الفلك

تاريخ وعلماء علم الفلك

الثقوب السوداء


المجموعة الشمسية

الشمس

كوكب عطارد

كوكب الزهرة

كوكب الأرض

كوكب المريخ

كوكب المشتري

كوكب زحل

كوكب أورانوس

كوكب نبتون

كوكب بلوتو

القمر

كواكب ومواضيع اخرى

مواضيع عامة في علم الفلك

النجوم

البلازما

الألكترونيات

خواص المادة


الطاقة البديلة

الطاقة الشمسية

مواضيع عامة في الطاقة البديلة

المد والجزر

فيزياء الجسيمات


الفيزياء والعلوم الأخرى

الفيزياء الكيميائية

الفيزياء الرياضية

الفيزياء الحيوية

الفيزياء والفلسفة

الفيزياء العامة


مواضيع عامة في الفيزياء

تجارب فيزيائية

مصطلحات وتعاريف فيزيائية

وحدات القياس الفيزيائية

طرائف الفيزياء

مواضيع اخرى
The AdS/CFT Correspondence
المؤلف:
Leonard Susskind And James Lindesay
المصدر:
AN INTRODUCTION TO BLACK HOLES, INFORMATION, AND THE STRING THEORY REVOLUTION
الجزء والصفحة:
20-12-2015
2431
The AdS/CFT Correspondence
The search for a holographic description of AdS (5) ⊗ S(5) is considerably narrowed by the symmetries. In fact there is only one known class of systems with the appropriate N = 4 supersymmetry; the SU(N) Supersymmetric Yang–Mills (SYM) theories.
The correspondence between gravity or its string theoretic generalization in AdS(5) ⊗ S(5) and Super Yang-Mills (SYM) theory on the boundary is the subject of a vast literature. We will only review some of the salient features. The correspondence states that there is a complete equivalence between superstring theory in the bulk of AdS(5) ⊗ S(5) and N = 4, 3 + 1-dimensional, SU(N), SYM theory on the boundary of the AdS space[7][8][9].In these lectures SYM theory will always refer to this particular version of supersymmetric gauge theory, N represents the number of super symmetries, and N is the dimension of the Yang-Mills gauge theory.
It is well known that SYM is conformally invariant and therefore has no dimensional parameters. It will be convenient to define the theory to live on the boundary parametrized by the dimensionless coordinates t, Ω or t, x. The corresponding momenta are also dimensionless. In fact we will use the convention that all SYM quantities are dimensionless. On the other hand the bulk gravity theory quantities such as mass, length and temperature carry their usual dimensions. To convert from SYM to bulk variables, the conversion factor is R. Thus if ESYM and M represent the energy in the SYM and bulk theories
ESYM = MR.
Similarly bulk time intervals are given by multiplying the t interval by R.
There is one question that may be puzzling to the reader. Since AdS(5) ⊗ S(5) is a 10-dimensional spacetime one might think that its boundary is (8 + 1) dimensional. But there is an important sense in which it is 3 + 1 dimensional. To see this let us Wey lrescale the metric by a factor R2/(1−r2)2 so that the rescaled metric at the boundary is finite. The new metric is
(1.1)
Notice that the size of the 5-sphere shrinks to zero as the boundary at r = 1 is approached. The boundary of the geometry is therefore 3+1 dimensional.
Let us return to the correspondence between the bulk and boundary theories. The 10-dimensional bulk theory has two dimensionless parameters. These are:
1) The radius of curvature of the AdS space measured in string units R/ℓs.
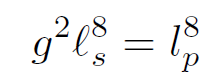
Alternately we could measure R in 10-dimensional Planck units. The relation between string and Planck lengths is given by

2) The dimensionless string coupling constant g.
The string coupling constant and length scale are related to the 10- dimensional Planck length and Newton constant by
(1.2)
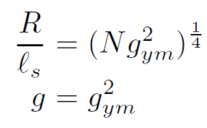
On the other side of the correspondence, the gauge theory also has two constants. They are
1) The rank of the gauge group N
2) The gauge coupling gym
Obviously the two bulk parameters R and g must be determined by N and gym. In these lectures we will assume the relation that was originally derived in [7].
(1.3)
We can also write the 10-dimensional Newton constant in the form
G = R8/N2 (1.4)
There are two distinct limits that are especially interesting, depending on one's motivation. The AdS/CFT correspondence has been widely studied as a tool for learning about the behavior of gauge theories in the strongly coupled 't Hooft limit. From the gauge theory point of view the 't Hooft limit is defined by
(1.5)
From the bulk string point of view the limit is
(1.6)
Thus the strongly coupled 't Hooft limit is also the classical string theory limit in a fixed and large AdS space. This limit is dominated by classical super gravity theory.
The interesting limit from the viewpoint of the holographic principle is a different one. We will be interested in the behavior of the theory as the AdS radius increases but with the parameters that govern the microscopic physics in the bulk kept fixed. This means we want the limit
g = constant
R/ℓs →∞ (1.7)
On the gauge theory side this is
gym = constant
N →∞ (1.8)
Our goal will be to show that the number of quantum degrees of freedom in the gauge theory description satisfies the holographic behavior.
الاكثر قراءة في الثقوب السوداء
اخر الاخبار
اخبار العتبة العباسية المقدسة
الآخبار الصحية

قسم الشؤون الفكرية يصدر كتاباً يوثق تاريخ السدانة في العتبة العباسية المقدسة
"المهمة".. إصدار قصصي يوثّق القصص الفائزة في مسابقة فتوى الدفاع المقدسة للقصة القصيرة
(نوافذ).. إصدار أدبي يوثق القصص الفائزة في مسابقة الإمام العسكري (عليه السلام)