
تاريخ الفيزياء

علماء الفيزياء


الفيزياء الكلاسيكية

الميكانيك

الديناميكا الحرارية


الكهربائية والمغناطيسية

الكهربائية

المغناطيسية

الكهرومغناطيسية


علم البصريات

تاريخ علم البصريات

الضوء

مواضيع عامة في علم البصريات

الصوت


الفيزياء الحديثة


النظرية النسبية

النظرية النسبية الخاصة

النظرية النسبية العامة

مواضيع عامة في النظرية النسبية

ميكانيكا الكم

الفيزياء الذرية

الفيزياء الجزيئية


الفيزياء النووية

مواضيع عامة في الفيزياء النووية

النشاط الاشعاعي


فيزياء الحالة الصلبة

الموصلات

أشباه الموصلات

العوازل

مواضيع عامة في الفيزياء الصلبة

فيزياء الجوامد


الليزر

أنواع الليزر

بعض تطبيقات الليزر

مواضيع عامة في الليزر


علم الفلك

تاريخ وعلماء علم الفلك

الثقوب السوداء


المجموعة الشمسية

الشمس

كوكب عطارد

كوكب الزهرة

كوكب الأرض

كوكب المريخ

كوكب المشتري

كوكب زحل

كوكب أورانوس

كوكب نبتون

كوكب بلوتو

القمر

كواكب ومواضيع اخرى

مواضيع عامة في علم الفلك

النجوم

البلازما

الألكترونيات

خواص المادة


الطاقة البديلة

الطاقة الشمسية

مواضيع عامة في الطاقة البديلة

المد والجزر

فيزياء الجسيمات


الفيزياء والعلوم الأخرى

الفيزياء الكيميائية

الفيزياء الرياضية

الفيزياء الحيوية

الفيزياء والفلسفة

الفيزياء العامة


مواضيع عامة في الفيزياء

تجارب فيزيائية

مصطلحات وتعاريف فيزيائية

وحدات القياس الفيزيائية

طرائف الفيزياء

مواضيع اخرى
السرعة فوق الصوتية
المؤلف:
فريدريك بوش ، دافيد جيرد
المصدر:
اساسيات الفيزياء
الجزء والصفحة:
21-1-2016
3166
السرعة فوق الصوتية
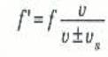
تحدث ظاهرة غريبة عندما تقترب سرعة المصدر الصوتي أو تصبح مساوية لها. في هذه الحالة سوف نجد من المعادلة (1) أن تردد الصوت f يقترب من ما لانهاية؛ وهذا يعني ببساطة ان عدد لا نهائياً تقريباً من القمم الموجية سوف يصل إلى المشاهد في وقت قصير جداً.
(1)
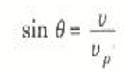
لنفرض أن سرعة المصدر الصوتي تساوي سرعة الصوت. في هذه الحالة سوف تقع جميع القمم الموجية الموجودة امام المصدر فوق بعضها البعض، مما يؤدي إلى تركيز الطاقة الموجية في منطقة صغيرة جداً امام المصدر. وإذا تذكرنا أن الموجة التضاغطية يمكنها ان تتحرك في الهواء بسرعة الصوت v فقط ، يمكننا ان نفهم ما يحدث في الحالة التالية. عندما تتحرك طائرة في الهواء بسرعة أعلى من سرعة الصوت v، سوف يتحرك التضاغط الهوائي الناتج من الطائرة إلى الخارج بسرعة مقدارها v؛ ويوضح الشكل (1 أ) موضع هذا التضاغط في لحظات متتالية.. وعندما تتحرك الطائرة من A إلى B إلى C إلى D بالسرعة vp يتحرك التضاغط الناتج تتحرك عنها إلى الخارج بسرعة أبطأ قدرها v لتصل إلى المواضع المناظرة A' و B' و C' و D'. ومن ثم فإن الجبهة الموجية للتضاغط سوف تصنع زاوية قدرها 0 مع اتجاه سرعة الطائرة، حيث :

وهذه الزاوية موضحة بالشكل (1 ب).

الشكل ((1
وتتحرك الموجة التضاغطية في الواقع في ثلاثة أبعاد، مولدة بذلك موجة مخروطية كالمبينة بالشكل ((2. وتسمى هذه المنطقة من الطاقة الصوتية المكثفة جداً بالموجه الصدمية، وهي تسبب دوياً اختراق حاجر الصوت هذا على الأرض بسرعة تساوي سرعة الطائرة. ويلاحظ وجود فرق كبير في ضغط الهواء عبر الموجة الصدمية. وحيث أن الموجة الصدمية هي منطقة من الطاقة الصوتية المكثفة جداً فإنها يمكن أن تسبب دماراً شديداً لأي شيء تصطدم به، وتتوقف التأثيرات التدميرية بالطبع على شدة الموجة الصدمية. ويكون هذا التدمير شديداً بوجه خاص عند طيران الطائرة فوق الصوتية على ارتفاعات منخفضة، حيث لا تجد طاقة الموجة الصدمية الفرصة لتشتتها قبل ضربها للأرض.

لاحظ ان الزاوية θ تثل بزيادة سرعة الطائرة . وتعرف النسبة بين سرعة الطائرة وسرعة الصوت vp/v بالعدد الماخي (Mach number).

ويقال أن الطائرة تتحرك بسرعة قدرها mach 2 إذا كانت سرعتها ضعف سرعة الصوت.
الاكثر قراءة في الصوت
اخر الاخبار
اخبار العتبة العباسية المقدسة
الآخبار الصحية

قسم الشؤون الفكرية يصدر كتاباً يوثق تاريخ السدانة في العتبة العباسية المقدسة
"المهمة".. إصدار قصصي يوثّق القصص الفائزة في مسابقة فتوى الدفاع المقدسة للقصة القصيرة
(نوافذ).. إصدار أدبي يوثق القصص الفائزة في مسابقة الإمام العسكري (عليه السلام)