تاريخ الفيزياء
علماء الفيزياء
الفيزياء الكلاسيكية
الميكانيك
الديناميكا الحرارية
الكهربائية والمغناطيسية
الكهربائية
المغناطيسية
الكهرومغناطيسية
علم البصريات
تاريخ علم البصريات
الضوء
مواضيع عامة في علم البصريات
الصوت
الفيزياء الحديثة
النظرية النسبية
النظرية النسبية الخاصة
النظرية النسبية العامة
مواضيع عامة في النظرية النسبية
ميكانيكا الكم
الفيزياء الذرية
الفيزياء الجزيئية
الفيزياء النووية
مواضيع عامة في الفيزياء النووية
النشاط الاشعاعي
فيزياء الحالة الصلبة
الموصلات
أشباه الموصلات
العوازل
مواضيع عامة في الفيزياء الصلبة
فيزياء الجوامد
الليزر
أنواع الليزر
بعض تطبيقات الليزر
مواضيع عامة في الليزر
علم الفلك
تاريخ وعلماء علم الفلك
الثقوب السوداء
المجموعة الشمسية
الشمس
كوكب عطارد
كوكب الزهرة
كوكب الأرض
كوكب المريخ
كوكب المشتري
كوكب زحل
كوكب أورانوس
كوكب نبتون
كوكب بلوتو
القمر
كواكب ومواضيع اخرى
مواضيع عامة في علم الفلك
النجوم
البلازما
الألكترونيات
خواص المادة
الطاقة البديلة
الطاقة الشمسية
مواضيع عامة في الطاقة البديلة
المد والجزر
فيزياء الجسيمات
الفيزياء والعلوم الأخرى
الفيزياء الكيميائية
الفيزياء الرياضية
الفيزياء الحيوية
الفيزياء العامة
مواضيع عامة في الفيزياء
تجارب فيزيائية
مصطلحات وتعاريف فيزيائية
وحدات القياس الفيزيائية
طرائف الفيزياء
مواضيع اخرى
الحركة بتسارع منتظم (Motion With Uniform Acceleration)
المؤلف:
د. معن صفاء ابراهيم
المصدر:
الفيزياء الجامعية 101
الجزء والصفحة:
ص 73
17-2-2016
9327
الحركة بتسارع منتظم (Motion With Uniform Acceleration)
يعتبر متجه الموقع (r) الأساس في تحديد مجموعة من المقادير الفيزيائية المتجه التي يمكن بواسطتها وصف حركة الجسم مثل متجهات الإزاحة والسرعة والتسارع.
ويمكن وصف متجه الموقع بدلالة مركباته على المحورين السيني والصادي كما يلي:
ويمكن وصف متجه السرعة أيضاً بدلالة مركباته كما يلي:
وكذلك فإن متجه التسارع يمكن وصفه بدلالة مركباته كما يلي:
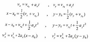
وفي حالة كون التسارع منتظم، إذا بالإمكان تطبيق قوانين الحركة الخطية على حركة الجسم على محورين وذلك بفصل الحركة إلى حركتين إحداهما باتجاه المحور السيني والأخرى باتجاه المحور الصادي ولذلك يمكن وضع معادلات الحركة على محورين بالشكل التالي:
وعلى هذا الأساس يمكن تعريف الحركة على محورين بتسارع منتظم على أنها تكافئ حركتان غير مترابطتان إحداهما باتجاه المحور السيني والأخرى باتجاه المحور الصادي والاثنان يكونان بتسارع منتظم.
الاكثر قراءة في الميكانيك
اخر الاخبار
اخبار العتبة العباسية المقدسة

الآخبار الصحية
