
تاريخ الفيزياء

علماء الفيزياء


الفيزياء الكلاسيكية

الميكانيك

الديناميكا الحرارية


الكهربائية والمغناطيسية

الكهربائية

المغناطيسية

الكهرومغناطيسية


علم البصريات

تاريخ علم البصريات

الضوء

مواضيع عامة في علم البصريات

الصوت


الفيزياء الحديثة


النظرية النسبية

النظرية النسبية الخاصة

النظرية النسبية العامة

مواضيع عامة في النظرية النسبية

ميكانيكا الكم

الفيزياء الذرية

الفيزياء الجزيئية


الفيزياء النووية

مواضيع عامة في الفيزياء النووية

النشاط الاشعاعي


فيزياء الحالة الصلبة

الموصلات

أشباه الموصلات

العوازل

مواضيع عامة في الفيزياء الصلبة

فيزياء الجوامد


الليزر

أنواع الليزر

بعض تطبيقات الليزر

مواضيع عامة في الليزر


علم الفلك

تاريخ وعلماء علم الفلك

الثقوب السوداء


المجموعة الشمسية

الشمس

كوكب عطارد

كوكب الزهرة

كوكب الأرض

كوكب المريخ

كوكب المشتري

كوكب زحل

كوكب أورانوس

كوكب نبتون

كوكب بلوتو

القمر

كواكب ومواضيع اخرى

مواضيع عامة في علم الفلك

النجوم

البلازما

الألكترونيات

خواص المادة


الطاقة البديلة

الطاقة الشمسية

مواضيع عامة في الطاقة البديلة

المد والجزر

فيزياء الجسيمات


الفيزياء والعلوم الأخرى

الفيزياء الكيميائية

الفيزياء الرياضية

الفيزياء الحيوية

الفيزياء والفلسفة

الفيزياء العامة


مواضيع عامة في الفيزياء

تجارب فيزيائية

مصطلحات وتعاريف فيزيائية

وحدات القياس الفيزيائية

طرائف الفيزياء

مواضيع اخرى
LINE SPECTRA
المؤلف:
Mark Csele
المصدر:
FUNDAMENTALS OF LIGHT SOURCES AND LASERS
الجزء والصفحة:
p21
8-3-2016
3149
LINE SPECTRA
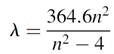
When a gas such as hydrogen is put under low pressure and excited electrically, it emits light. In analyzing the light emitted using a simple diffraction grating, one notices that this light is not a continuum but is actually composed of a series of discrete lines. In the case of hydrogen (chosen because it is the simplest atom, with only one electron), the visible spectrum (between 400 and 700 nm) is actually composed of five discrete lines at 656.3 nm in the red, 486.1 nm in the cyan, 434.1 nm in the blue, 410.2 nm in the violet, and 397.0 nm in the deep violet. This series of lines is called the Balmer series after the discoverer, J. J. Balmer, a Swiss secondary schoolteacher, who found the relationship between the wavelength of these lines and the square of an integer n as
where n is an integer with values 3, 4, 5, 6, . . . . The fact that this formula works for values of n = 3 and greater is of great importance, as will be evident. Further investigations showed that the reciprocal of the wavelength (1/λ) was a function of a constant (the Rydberg constant) and an integer n. Neither of these relations (Balmer or Rydberg) detail the mechanism of light emission in the atom but rather, attempt to predict its behavior. To fully understand the mechanism of light emission, one must understand the basic structure of the atom as well as the nature of light itself.
الاكثر قراءة في الضوء
اخر الاخبار
اخبار العتبة العباسية المقدسة
الآخبار الصحية

قسم الشؤون الفكرية يصدر كتاباً يوثق تاريخ السدانة في العتبة العباسية المقدسة
"المهمة".. إصدار قصصي يوثّق القصص الفائزة في مسابقة فتوى الدفاع المقدسة للقصة القصيرة
(نوافذ).. إصدار أدبي يوثق القصص الفائزة في مسابقة الإمام العسكري (عليه السلام)