
تاريخ الفيزياء

علماء الفيزياء


الفيزياء الكلاسيكية

الميكانيك

الديناميكا الحرارية


الكهربائية والمغناطيسية

الكهربائية

المغناطيسية

الكهرومغناطيسية


علم البصريات

تاريخ علم البصريات

الضوء

مواضيع عامة في علم البصريات

الصوت


الفيزياء الحديثة


النظرية النسبية

النظرية النسبية الخاصة

النظرية النسبية العامة

مواضيع عامة في النظرية النسبية

ميكانيكا الكم

الفيزياء الذرية

الفيزياء الجزيئية


الفيزياء النووية

مواضيع عامة في الفيزياء النووية

النشاط الاشعاعي


فيزياء الحالة الصلبة

الموصلات

أشباه الموصلات

العوازل

مواضيع عامة في الفيزياء الصلبة

فيزياء الجوامد


الليزر

أنواع الليزر

بعض تطبيقات الليزر

مواضيع عامة في الليزر


علم الفلك

تاريخ وعلماء علم الفلك

الثقوب السوداء


المجموعة الشمسية

الشمس

كوكب عطارد

كوكب الزهرة

كوكب الأرض

كوكب المريخ

كوكب المشتري

كوكب زحل

كوكب أورانوس

كوكب نبتون

كوكب بلوتو

القمر

كواكب ومواضيع اخرى

مواضيع عامة في علم الفلك

النجوم

البلازما

الألكترونيات

خواص المادة


الطاقة البديلة

الطاقة الشمسية

مواضيع عامة في الطاقة البديلة

المد والجزر

فيزياء الجسيمات


الفيزياء والعلوم الأخرى

الفيزياء الكيميائية

الفيزياء الرياضية

الفيزياء الحيوية

الفيزياء والفلسفة

الفيزياء العامة


مواضيع عامة في الفيزياء

تجارب فيزيائية

مصطلحات وتعاريف فيزيائية

وحدات القياس الفيزيائية

طرائف الفيزياء

مواضيع اخرى
الانكسار عند الأسطح الكروية
المؤلف:
محمد جواد جادر النعيمي
المصدر:
الضوء الهندسي
الجزء والصفحة:
21-7-2016
8754
الانكسار عند الأسطح الكروية
نفرض أن X نقطة مضيئة على المحور الأساسي لمرآة مقعرة ABC تفصل بين وسطين معامل انكسار الضوء فيهما μ1 و μ2 و ليكنM مركز تكور السطح الكروي.
فإذا فرضنا أن μ1 < μ2 فان الشعاع الساقط XA ينكسر في الاتجاه AY/ ، و إذا مددنا هذا الشعاع المنكسر فانه سوف يتقاطع مع محور المرآة في النقطة Y التي تمثل صورة الجسم، كما هو موضح بالشكل الاتي.

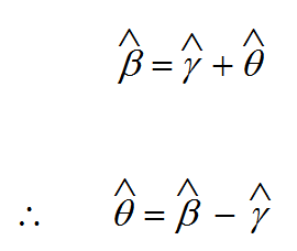
و من هذا الشكل يتضح أن
(1)
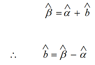
أيضا
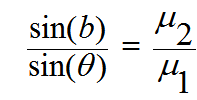
(2)
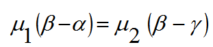
و حيث أن

فإذا كانت النقطة A قريبة من قطب المرآة فأن كل من زاويتي السقوط و الانكسار تكونان صغيرتين
(3)
بالتعويض من (1) و (2) في (3) نحصل على
(4)
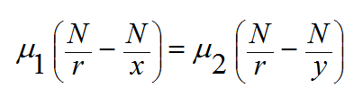
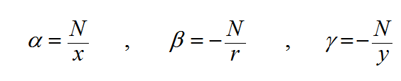
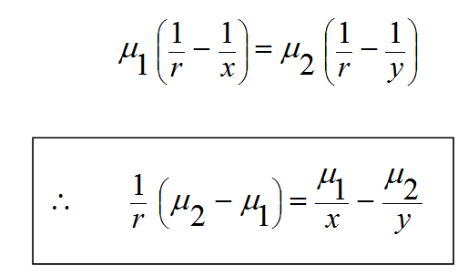
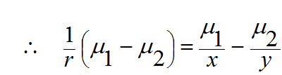
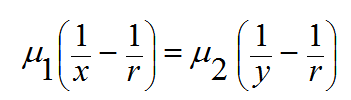
فإذا كانت المسافة بين الجسم و الصورة و المركز عن قطب المرآة هي r, y, x على الترتيب، فان
(*)
بالتعويض من هذه المعادلة في المعادلة (4)

و وفقا لقاعدة الإشارات التي سبق ذكرها فان:
(5)
و هي المعادلة العامة في حالة السطح الكرى المقعر.
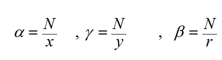
أما في حالة السطح الكرى المحدب (كما بالشكل الآتي) فان

(6)
أيضا
(7)
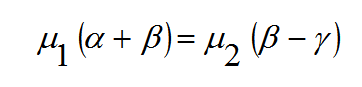
و من المعادلات (3) و (6) و (7) يمكننا الحصول على
(8)
و بكتابة المعادلة (*) مرة أخر و لكن مع مراعاة قاعدة الإشارات في هذه الحالة

فان المعادلة (51) تأخذ الشكل الآتي
(9)
(10)
و هي نفس النتيجة التي حصلنا عليها في حالة السطح الكرى المقعر.
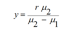
أما إذا كانت الأشعة الساقطة متوازية كما بالشكل الآتي ( أي أن X في ∞) فان المعادلة السابقة تصبح على الصورة الآتية
(11)
و بذلك تتجمع الأشعة المنكسرة في نقطة واحدة Z تسمى البؤرة و يسمى بعدها عن قطب المرآة البعد البؤري.

الاكثر قراءة في الضوء
اخر الاخبار
اخبار العتبة العباسية المقدسة
الآخبار الصحية

قسم الشؤون الفكرية يصدر كتاباً يوثق تاريخ السدانة في العتبة العباسية المقدسة
"المهمة".. إصدار قصصي يوثّق القصص الفائزة في مسابقة فتوى الدفاع المقدسة للقصة القصيرة
(نوافذ).. إصدار أدبي يوثق القصص الفائزة في مسابقة الإمام العسكري (عليه السلام)