تاريخ الفيزياء
علماء الفيزياء
الفيزياء الكلاسيكية
الميكانيك
الديناميكا الحرارية
الكهربائية والمغناطيسية
الكهربائية
المغناطيسية
الكهرومغناطيسية
علم البصريات
تاريخ علم البصريات
الضوء
مواضيع عامة في علم البصريات
الصوت
الفيزياء الحديثة
النظرية النسبية
النظرية النسبية الخاصة
النظرية النسبية العامة
مواضيع عامة في النظرية النسبية
ميكانيكا الكم
الفيزياء الذرية
الفيزياء الجزيئية
الفيزياء النووية
مواضيع عامة في الفيزياء النووية
النشاط الاشعاعي
فيزياء الحالة الصلبة
الموصلات
أشباه الموصلات
العوازل
مواضيع عامة في الفيزياء الصلبة
فيزياء الجوامد
الليزر
أنواع الليزر
بعض تطبيقات الليزر
مواضيع عامة في الليزر
علم الفلك
تاريخ وعلماء علم الفلك
الثقوب السوداء
المجموعة الشمسية
الشمس
كوكب عطارد
كوكب الزهرة
كوكب الأرض
كوكب المريخ
كوكب المشتري
كوكب زحل
كوكب أورانوس
كوكب نبتون
كوكب بلوتو
القمر
كواكب ومواضيع اخرى
مواضيع عامة في علم الفلك
النجوم
البلازما
الألكترونيات
خواص المادة
الطاقة البديلة
الطاقة الشمسية
مواضيع عامة في الطاقة البديلة
المد والجزر
فيزياء الجسيمات
الفيزياء والعلوم الأخرى
الفيزياء الكيميائية
الفيزياء الرياضية
الفيزياء الحيوية
الفيزياء العامة
مواضيع عامة في الفيزياء
تجارب فيزيائية
مصطلحات وتعاريف فيزيائية
وحدات القياس الفيزيائية
طرائف الفيزياء
مواضيع اخرى
قوة التفريق
المؤلف:
محمد جواد جادر النعيمي
المصدر:
الضوء الهندسي
الجزء والصفحة:
21-7-2016
6025
قوة التفريق
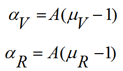
أن زاوية الانحراف للمنشور تعطى من العلاقة الاتية
فإذا كانت زاوية انحراف اللون البنفسجي Vα ، و زاوية انحراف اللون الاحمر هي Rα فأن
حيث Vμ و Rμ هما معاملا انكسار الأشعة البنفسجية و الحمراء في مادة المنشور. أي أن التفريق الزاوي للونين البنفسجي و الأحمر يعطى من المعادلة الآتية:
(1)
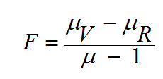
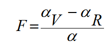
و تعرف قوة تفريق المنشور من المعادلة
(2)
حيث α زاوية الانحراف بالنسبة للون الأوسط في الفيض.
فإذا كانت μ متوسط معامل الانكسار للونين البنفسجي و الأحمر، فان قوة تفريق المنشور للضوء تعطى من العلاقة:
(3)
يتضح من المعادلتين (1) و (3) أنه بينما يتوقف التشتيت الزاوي على زاوية رأس المنشور و على طبيعة المادة المصنوع منها فان قوة التشتيت تتوقف فقط على طبيعة المادة المصنوع منها المنشور.
الاكثر قراءة في الضوء
اخر الاخبار
اخبار العتبة العباسية المقدسة

الآخبار الصحية
