
تاريخ الفيزياء

علماء الفيزياء


الفيزياء الكلاسيكية

الميكانيك

الديناميكا الحرارية


الكهربائية والمغناطيسية

الكهربائية

المغناطيسية

الكهرومغناطيسية


علم البصريات

تاريخ علم البصريات

الضوء

مواضيع عامة في علم البصريات

الصوت


الفيزياء الحديثة


النظرية النسبية

النظرية النسبية الخاصة

النظرية النسبية العامة

مواضيع عامة في النظرية النسبية

ميكانيكا الكم

الفيزياء الذرية

الفيزياء الجزيئية


الفيزياء النووية

مواضيع عامة في الفيزياء النووية

النشاط الاشعاعي


فيزياء الحالة الصلبة

الموصلات

أشباه الموصلات

العوازل

مواضيع عامة في الفيزياء الصلبة

فيزياء الجوامد


الليزر

أنواع الليزر

بعض تطبيقات الليزر

مواضيع عامة في الليزر


علم الفلك

تاريخ وعلماء علم الفلك

الثقوب السوداء


المجموعة الشمسية

الشمس

كوكب عطارد

كوكب الزهرة

كوكب الأرض

كوكب المريخ

كوكب المشتري

كوكب زحل

كوكب أورانوس

كوكب نبتون

كوكب بلوتو

القمر

كواكب ومواضيع اخرى

مواضيع عامة في علم الفلك

النجوم

البلازما

الألكترونيات

خواص المادة


الطاقة البديلة

الطاقة الشمسية

مواضيع عامة في الطاقة البديلة

المد والجزر

فيزياء الجسيمات


الفيزياء والعلوم الأخرى

الفيزياء الكيميائية

الفيزياء الرياضية

الفيزياء الحيوية

الفيزياء والفلسفة

الفيزياء العامة


مواضيع عامة في الفيزياء

تجارب فيزيائية

مصطلحات وتعاريف فيزيائية

وحدات القياس الفيزيائية

طرائف الفيزياء

مواضيع اخرى
Small Particle in Bowl
المؤلف:
Sidney B. Cahn Boris E. Nadgorny
المصدر:
A GUIDE TO PHYSICS PROBLEMS
الجزء والصفحة:
part 1 , p 14
1-8-2016
2046
Small Particle in Bowl
A small particle of mass m slides without friction on the inside of a hemispherical bowl, of radius R, that has its axis parallel to the gravitational field g. Use the polar angle θ (see Figure 1.1) and the azimuthal angle φ to describe the location of the particle (which is to be treated as a point particle).

Figure 1.1
a) Write the Lagrangian for the motion.
b) Determine formulas for the generalized momenta and
c) Write the Hamiltonian for the motion.
d) Develop Hamilton's equations for the motion.
e) Combine the equations so as to produce one second order differential equation for as a function of time.
f) If θ = θ0 and θ = 0 independent of time, calculate the velocity (magnitude and direction).
g) If at t = 0, θ = θ0, θ = 0 and φ = 0 calculate the maximum speed at later times.
SOLUTION
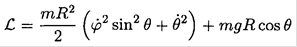
a) In spherical coordinates, the Lagrangian

Since we have the restriction r = constant = R (see Figure 1.2),
(1)

Figure 1.2
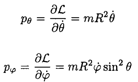
b) For the generalized momenta
(2)
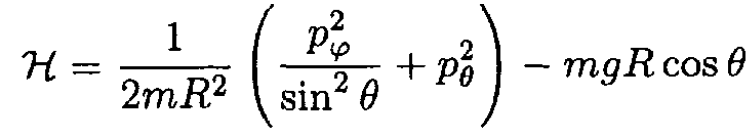
c) Find the Hamiltonian of the motion H (p, q, t)

From (b)
(3)
(4)
The Hamiltonian then becomes
(5)
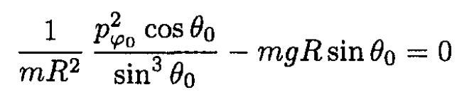
d) Let us write Hamilton’s equations

(6)
(7)
e) Differentiate (3) and use (6) and (7)
(8)
f) If θ = θ0,
we have
(9)
(10)
Here, the particle slides in a circle at a fixed height in the bowl. The different signs correspond to clockwise or counterclockwise motion.
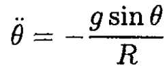
g) If
at t = 0, then we always have

and so
(11)
(the equation for a simple pendulum). The energy is conserved and therefore
(12)
Using (2), (5), and (12), we have

and

The maximum velocity corresponds to the maximum |pθ| which occurs at θ = 0

Of course, this result can be obtained much more easily from (11) using elementary methods.
الاكثر قراءة في مواضيع اخرى
اخر الاخبار
اخبار العتبة العباسية المقدسة
الآخبار الصحية

قسم الشؤون الفكرية يصدر كتاباً يوثق تاريخ السدانة في العتبة العباسية المقدسة
"المهمة".. إصدار قصصي يوثّق القصص الفائزة في مسابقة فتوى الدفاع المقدسة للقصة القصيرة
(نوافذ).. إصدار أدبي يوثق القصص الفائزة في مسابقة الإمام العسكري (عليه السلام)