Stability on Rotating Rollers
A uniform thin rigid rod of mass M is supported by two rotating rollers whose axes are separated by a fixed distance α. The rod is initially placed at rest asymmetrically, as shown in Figure 1.1a.
a) Assume that the rollers rotate in opposite directions. The coefficient of kinetic friction between the bar and the rollers is μ. Write the equation of motion of the bar and solve for the displacement x(t) of the center C of the bar from roller 1, assuming x(0) = x0 and 

Figure 1.1a
b) Now consider the case in which the directions of rotation of the rollers are reversed, as shown in Figure 1.1b. Calculate the displacement x(t) again, assuming x(0) = x0 and 

Figure 1.1b
SOLUTION
Hint: Consider a rod, e.g., a pencil, supported by one finger of each hand. First put your fingers as far apart as possible and then move them until they touch. Where do they meet? Now put your fingers together and place the rod with its center of mass at this point and move your fingers apart. What happens now?
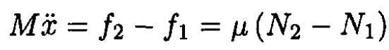
a) Let us orient the x-coordinate positive to the right (see Figure 1.2a). Then we can write equations for forces and torques relative to the center

Figure 1.2a
of mass of the rod:
(1)
(2)
(3)
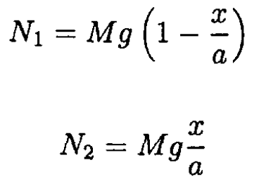
where N1 and N2 are normal forces and f1 and f2 are friction forces at the first and second rollers, respectively.
(4)
From (1) and (2) we get
(5)
Substituting (5) and (4) into (3) results in the differential equation

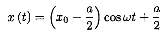
Letting ω2 = 2μg/a, gives ẍ + ω2x = μg. The solution of this equation is

where α is an arbitrary phase. Taking into account the initial conditions x(0) = x0 and ẋ(0) = 0 leads to the solution

corresponding to simple harmonic motion.
b) Now consider another case (see Figure 1.2b). The equations are quite similar:
(1')
(2')
(3')

Figure 1.2b
Again from (1') and (2') we can get ẍ - ω2x = -μg, ω2 = 2μg/a. The solution of this equation is

This means that the motion is not bound within the length of the rod. Even if you place the rod in the middle of the rollers, the equilibrium will not be stable.