Plane Wave in Dielectric
المؤلف:
Sidney B. Cahn Boris E. Nadgorny
المصدر:
A GUIDE TO PHYSICS PROBLEMS
الجزء والصفحة:
part 1 , p 65
11-8-2016
1805
Plane Wave in Dielectric
A monochromatic plane wave of frequency ω propagates through a non-permeable (μ = 1) insulating medium with dielectric constant ε1. The wave is normally incident upon an interface with a similar medium with dielectric constant ε2 (see Figure 1.1).

Figure 1.1
a) Derive the boundary conditions for the electric and magnetic fields at the interface.
b) Find the fraction of incident energy that is transmitted to the second medium.
SOLUTION
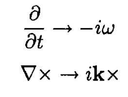
a) We assume that the dielectric constant is essentially real (no dissipation). For a monochromatic wave travelling in the z direction with E = E0ei(kz-ωt) we can write the sourceless Maxwell equations
(1)
(2)
Substituting the explicit form for E (and H) produces the following exchange:

So (1) and (2) become
(3)
(4)
Orient the axes so that and
(see Figure 1.2). Then, the boundary conditions (which require continuity for the tangential components of E and H) become

where the indices 1 and 2 correspond to dielectric media 1 and 2 (see Figure

Figure 1.2
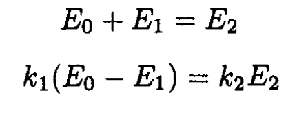
1.2). From (3),
(5)
The field in medium 1 is the sum of the incident wave E0 and the reflected wave E1, whereasthe field in medium 2 is due only to the transmitted wave E2. Using the boundary conditions and (5), we obtain
(6)
Solving (6) for E1 and E2,
(7)
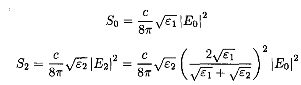
b) The energy flux in a monochromatic wave is given by the magnitude of the Poynting vector,
(8)
So the incident and transmitted fluxes S0 and S2, respectively, are, from (7)

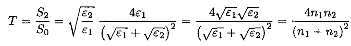
The fraction of the energy transmitted into the second medium is
(9)
where we have substituted
the indices of refraction of the two media. Similarly, the fraction of the energy reflected back into the first medium
(10)
where S1 is the magnitude of the Poynting vector for the reflected wave. We can check that T + R = 1 by adding (9) and (10).
الاكثر قراءة في مواضيع اخرى
اخر الاخبار
اخبار العتبة العباسية المقدسة