Stability of Plasma
المؤلف:
Sidney B. Cahn Boris E. Nadgorny
المصدر:
A GUIDE TO PHYSICS PROBLEMS
الجزء والصفحة:
part 1 , p 74
11-8-2016
1274
Stability of Plasma
Consider an idealized ion beam of radius R and length much longer than R.
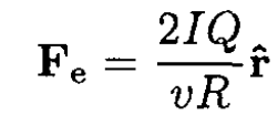
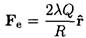
a) Show that an individual ion at the periphery of this beam is subject to the net outward force

where I is the beam current, Q is the charge of each ion, and v is the velocity of the ions. Assume that the charge and current densities have cylindrical symmetry.
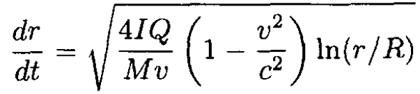
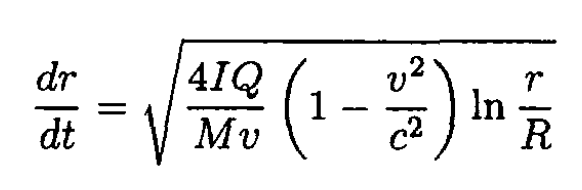
b) The beam diverges because the electrostatic force prevails on the magnetic force that tends to concentrate the beam along its axis (“pinch” effect). Show that the rate of increase of the beam radius

SOLUTION
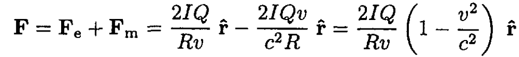
a) Calculate the force on the ion of charge Q at radius R in cylindrical coordinates with unit vectors
and ẑ. The electrostatic force
(1)
where λ = I/v is the linear charge density. So

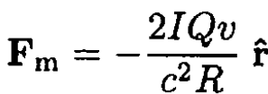
and the magnetic force
(2)
where
could be found from
(3)
So
(4)
Therefore, the total force acts outward
(5)
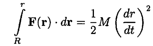
b) The force calculated in (a) does some work on an ion, which leads to an increase of its kinetic energy (we take the initial radial velocity of the ion to be zero)
(6)
Performing the integration in (6), we obtain

or

الاكثر قراءة في مواضيع اخرى
اخر الاخبار
اخبار العتبة العباسية المقدسة