Bouncing Ball
المؤلف:
Sidney B. Cahn, Gerald D. Mahan And Boris E. Nadgorny
المصدر:
A GUIDE TO PHYSICS PROBLEMS
الجزء والصفحة:
part 2 , p 71
14-8-2016
1567
Bouncing Ball
A ball of mass m acted on by uniform gravity (let g be the acceleration of gravity) bounces up and down elastically off a floor. Take the floor to be at the zero of potential energy. Working in the WKB approximation, compute the quantized energy levels of the bouncing ball system.

Figure 1.1
SOLUTION
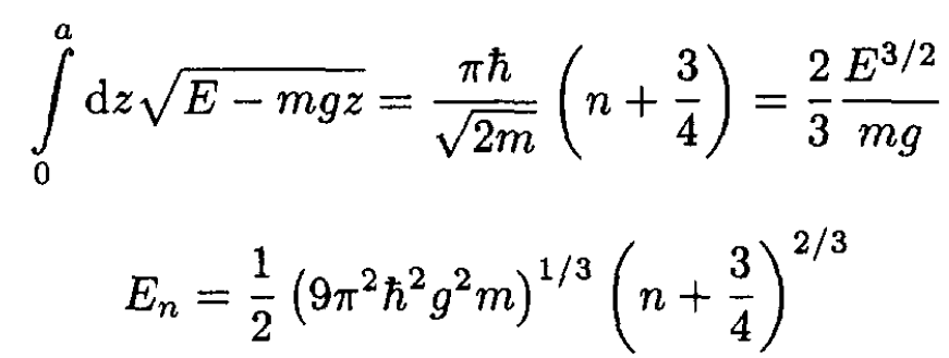
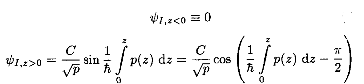
The potential energy here is U = mgz. We can apply the quasi-classical (WKB) approximation between points [0, a], where a = E/mg, with the quasi-classical function applicable all the way to z = 0. The wave function is given by
(1)
On the other hand, for z = a,
(2)
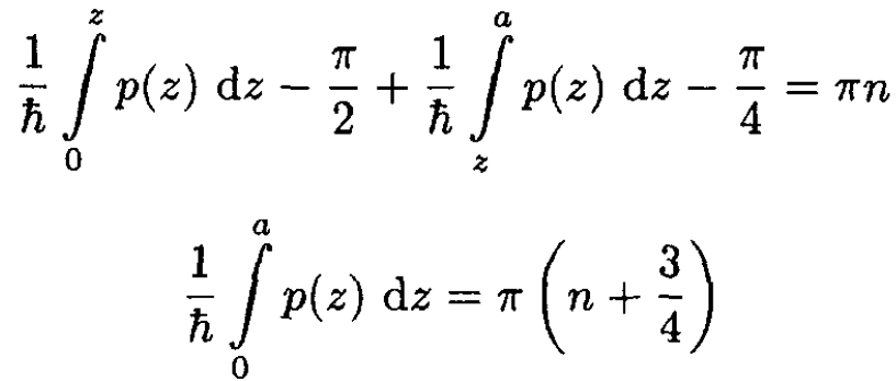
Imposing the condition ѱI = ѱII yields
(3)
We know that in this approximation
(4)
so
(5)
for n = 0, 1, 2, 3,…..
0
0
الاكثر قراءة في مواضيع اخرى
اخر الاخبار
اخبار العتبة العباسية المقدسة