
تاريخ الفيزياء

علماء الفيزياء


الفيزياء الكلاسيكية

الميكانيك

الديناميكا الحرارية


الكهربائية والمغناطيسية

الكهربائية

المغناطيسية

الكهرومغناطيسية


علم البصريات

تاريخ علم البصريات

الضوء

مواضيع عامة في علم البصريات

الصوت


الفيزياء الحديثة


النظرية النسبية

النظرية النسبية الخاصة

النظرية النسبية العامة

مواضيع عامة في النظرية النسبية

ميكانيكا الكم

الفيزياء الذرية

الفيزياء الجزيئية


الفيزياء النووية

مواضيع عامة في الفيزياء النووية

النشاط الاشعاعي


فيزياء الحالة الصلبة

الموصلات

أشباه الموصلات

العوازل

مواضيع عامة في الفيزياء الصلبة

فيزياء الجوامد


الليزر

أنواع الليزر

بعض تطبيقات الليزر

مواضيع عامة في الليزر


علم الفلك

تاريخ وعلماء علم الفلك

الثقوب السوداء


المجموعة الشمسية

الشمس

كوكب عطارد

كوكب الزهرة

كوكب الأرض

كوكب المريخ

كوكب المشتري

كوكب زحل

كوكب أورانوس

كوكب نبتون

كوكب بلوتو

القمر

كواكب ومواضيع اخرى

مواضيع عامة في علم الفلك

النجوم

البلازما

الألكترونيات

خواص المادة


الطاقة البديلة

الطاقة الشمسية

مواضيع عامة في الطاقة البديلة

المد والجزر

فيزياء الجسيمات


الفيزياء والعلوم الأخرى

الفيزياء الكيميائية

الفيزياء الرياضية

الفيزياء الحيوية

الفيزياء والفلسفة

الفيزياء العامة


مواضيع عامة في الفيزياء

تجارب فيزيائية

مصطلحات وتعاريف فيزيائية

وحدات القياس الفيزيائية

طرائف الفيزياء

مواضيع اخرى
Einstein Coefficients
المؤلف:
Sidney B. Cahn, Gerald D. Mahan And Boris E. Nadgorny
المصدر:
A GUIDE TO PHYSICS PROBLEMS
الجزء والصفحة:
part 2 , p 39
26-8-2016
1626
Einstein Coefficients
You have two-state atoms in a thermal radiation field at temperature T. The following three processes take place:
1) Atoms can be promoted from state 1 to state 2 by absorption of a photon according to
(1)
2) Atoms can decay from state 2 to state 1 by spontaneous emission according to
(2)
3) Atoms can decay from state 2 to state 1 by stimulated emission according to
(3)
The populations N1 and N2 are in thermal equilibrium, and the radiation density is
(4)
a) What is the ratio N2/N1?
b) Calculate the ratios of coefficients A21/B21 and B21/B12.
c) From the ratio of stimulated to spontaneous emission, how does the pump power scale with wavelength when you try to make short wavelength lasers?
SOLUTION
a) At equilibrium the rates of excitation out of and back to state 1 should be equal, so
(5)
Substituting (1), (2), and (3) into (5) gives
(6)
We may find the ratio of the populations from (6) to be
(7)
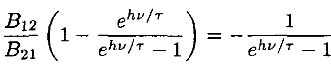
b) At thermal equilibrium the population of the upper state should be smaller than that of the lower state by the Boltzmann factor e-hv/τ, so (7) gives
(8)
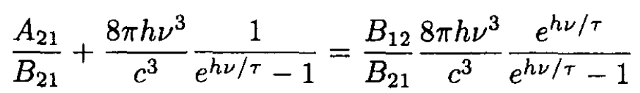
Substituting the radiation density ρ(v) into (8) gives
(9)
or
(10)
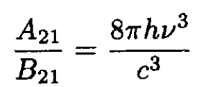
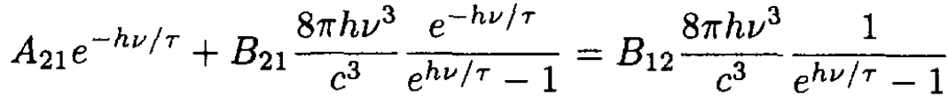
The ratios of coefficients may be found by considering (10) for extreme values of since it must be true for all values of v. For very large values of v, we have
(11)
Substituting (11) back into (10) yields
(12)
or
(13)
which immediately yields
(14)
and so, from (11),
(15)
c) Inspection of (15) shows that the ratio of the spontaneous emission rate to the stimulated emission rate grows as the cube of the frequency, which makes it more difficult to create the population inversion necessary for laser action. The pump power would therefore scale as (1/λ)3.
الاكثر قراءة في مواضيع اخرى
اخر الاخبار
اخبار العتبة العباسية المقدسة
الآخبار الصحية

قسم الشؤون الفكرية يصدر كتاباً يوثق تاريخ السدانة في العتبة العباسية المقدسة
"المهمة".. إصدار قصصي يوثّق القصص الفائزة في مسابقة فتوى الدفاع المقدسة للقصة القصيرة
(نوافذ).. إصدار أدبي يوثق القصص الفائزة في مسابقة الإمام العسكري (عليه السلام)