
تاريخ الفيزياء

علماء الفيزياء


الفيزياء الكلاسيكية

الميكانيك

الديناميكا الحرارية


الكهربائية والمغناطيسية

الكهربائية

المغناطيسية

الكهرومغناطيسية


علم البصريات

تاريخ علم البصريات

الضوء

مواضيع عامة في علم البصريات

الصوت


الفيزياء الحديثة


النظرية النسبية

النظرية النسبية الخاصة

النظرية النسبية العامة

مواضيع عامة في النظرية النسبية

ميكانيكا الكم

الفيزياء الذرية

الفيزياء الجزيئية


الفيزياء النووية

مواضيع عامة في الفيزياء النووية

النشاط الاشعاعي


فيزياء الحالة الصلبة

الموصلات

أشباه الموصلات

العوازل

مواضيع عامة في الفيزياء الصلبة

فيزياء الجوامد


الليزر

أنواع الليزر

بعض تطبيقات الليزر

مواضيع عامة في الليزر


علم الفلك

تاريخ وعلماء علم الفلك

الثقوب السوداء


المجموعة الشمسية

الشمس

كوكب عطارد

كوكب الزهرة

كوكب الأرض

كوكب المريخ

كوكب المشتري

كوكب زحل

كوكب أورانوس

كوكب نبتون

كوكب بلوتو

القمر

كواكب ومواضيع اخرى

مواضيع عامة في علم الفلك

النجوم

البلازما

الألكترونيات

خواص المادة


الطاقة البديلة

الطاقة الشمسية

مواضيع عامة في الطاقة البديلة

المد والجزر

فيزياء الجسيمات


الفيزياء والعلوم الأخرى

الفيزياء الكيميائية

الفيزياء الرياضية

الفيزياء الحيوية

الفيزياء والفلسفة

الفيزياء العامة


مواضيع عامة في الفيزياء

تجارب فيزيائية

مصطلحات وتعاريف فيزيائية

وحدات القياس الفيزيائية

طرائف الفيزياء

مواضيع اخرى
Hanging Chain
المؤلف:
Sidney B. Cahn, Gerald D. Mahan And Boris E. Nadgorny
المصدر:
A GUIDE TO PHYSICS PROBLEMS
الجزء والصفحة:
part 2 , p 24
29-8-2016
1930
Hanging Chain
The upper end of a hanging chain is fixed while the lower end is attached to a mass M. The (massless) links of the chain are ellipses with major axes l + a and minor axes and can place themselves only with either the major axis l – a, or the minor axis vertical. Figure 1.1 shows a four-link chain in which the major axes of the first and fourth links and the minor axes of the second and third links are vertical. Assume that the chain has N links and is in thermal equilibrium at temperature τ.
a) Find the partition function.
b) Find the average length of the chain.

Figure 1.1
SOLUTION
a) Let the number of links with major axis vertical be n, the number of horizontal major axis links will then be N – n. The total length of the chain is then
(1)
The energy of the system, is also a function of n since
(2)
where we let E1,2 = Mg (l ± a). The partition function
(3)
where gn = N!/[n!(N – n)!] is the number of possible configurations with n major axis vertical links.
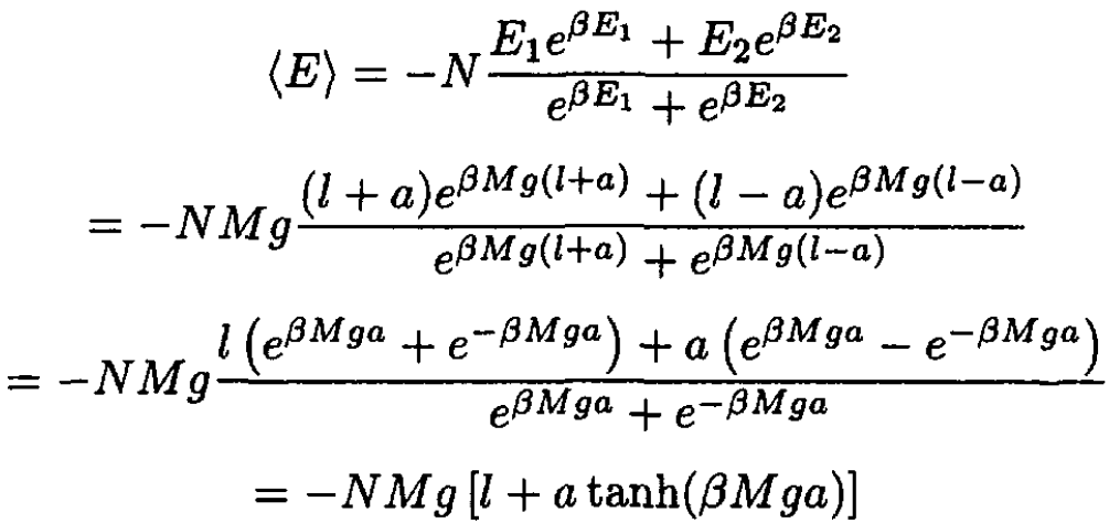
b) The average energy can be found from (3):
(4)
where β = 1/τ. Therefore,
(5)
The average length is
(6)
We can check that, if M = 0,

At τ → 0, 〈L〉 → N (l + a) (lowest energy state). At τ → ∞, 〈L〉 → Nl + NβMga2 = L0 + NβMga2.
الاكثر قراءة في مواضيع اخرى
اخر الاخبار
اخبار العتبة العباسية المقدسة
الآخبار الصحية

قسم الشؤون الفكرية يصدر كتاباً يوثق تاريخ السدانة في العتبة العباسية المقدسة
"المهمة".. إصدار قصصي يوثّق القصص الفائزة في مسابقة فتوى الدفاع المقدسة للقصة القصيرة
(نوافذ).. إصدار أدبي يوثق القصص الفائزة في مسابقة الإمام العسكري (عليه السلام)