Joule Cycle
المؤلف:
Sidney B. Cahn, Gerald D. Mahan And Boris E. Nadgorny
المصدر:
A GUIDE TO PHYSICS PROBLEMS
الجزء والصفحة:
part 2 , p 18
30-8-2016
2102
Joule Cycle
Find the efficiency of the Joule cycle, consisting of two adiabats and two isobars (see Figure 1.1). Assume that the heat capacities of the gas CP and CV are constant.

Figure 1.1
SOLUTION
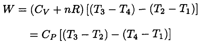
The efficiency η of the cycle is given by the work W during the cycle divided by the heat Q absorbed in path 2 → 3 (see Figure 1.2). W is defined by the area enclosed by the four paths of the P–V plot. The integral ∫P dV along the paths of constant pressure 2 → 3 and 4→1 is simply the difference in volume of the ends times the pressure, and the work along the adiabats, where there is no heat transfer δQ = 0, is given by the change in internal energy CVδT:
(1)

Figure 1.2
Substituting the ideal gas law PV = nRT into (1) and rearranging, we find
(2)
where we used CP = CV + nR. In the process 2 → 3, the gas absorbs the heat Q:
(3)
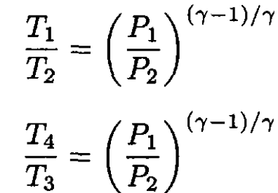
What remains is to write W and Q in terms of P and form the quotient. Using the equation for an adiabatic process in an alternative form,

we have
(4)
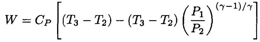
Substituting for T1 and T4 by putting (4) into (1) yields
(5)
The efficiency η is then

0
0
الاكثر قراءة في مواضيع اخرى
اخر الاخبار
اخبار العتبة العباسية المقدسة