Number Fluctuations
المؤلف:
Sidney B. Cahn, Gerald D. Mahan And Boris E. Nadgorny
المصدر:
A GUIDE TO PHYSICS PROBLEMS
الجزء والصفحة:
part 2 , p 44
30-8-2016
1474
Number Fluctuations
Show that for a grand canonical ensemble the number of particles N and occupational number nj in an ideal gas satisfy the conditions:
a)
quantum statistics
b) 〈N2〉 - 〈N〉2 = 〈N〉 classical statistics
For an electron spin s = 1/2. Fermi gas at temperature τ << εF,
c) Find 〈(∆N)2〉.
SOLUTION
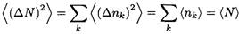
a) we have
(1)
Consider an assortment of nk particles which are in the kth quantum state. They are statistically independent of the other particles in the gas; therefore we can apply (1) in the form
(2)
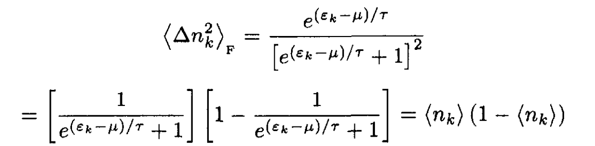
For a Fermi gas
(3)
So, by (2),
(4)
Similarly, for a Bose gas
(5)
we have
(6)
b) First solution: Since a classical ideal gas is a limiting case of both Fermi and Bose gases at 〈nk〉 <<1, we get, from (3) or (6),
(7)
Alternatively, we can take the distribution function for an ideal classical gas,

and use (2) to get the same result. Since all the numbers nk of particles in each state are statistically independent, we can write
(8)
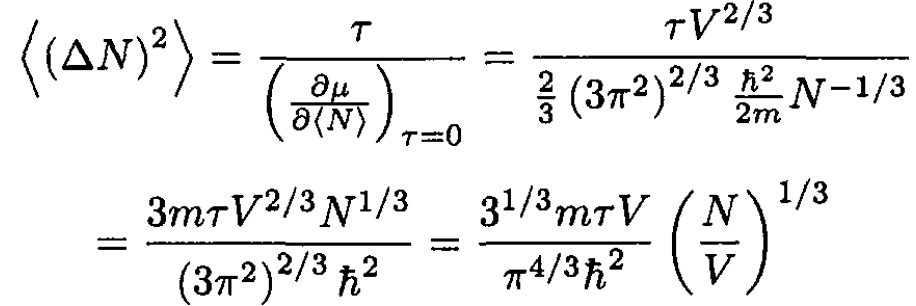
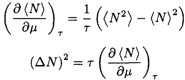
c) Again we will use (1):

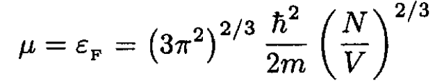
Since the gas is strongly degenerate, τ << εF, we can use μ = εF and τ = 0:
(9)
Then
(10)
الاكثر قراءة في مواضيع اخرى
اخر الاخبار
اخبار العتبة العباسية المقدسة