

النبات

مواضيع عامة في علم النبات

الجذور - السيقان - الأوراق

النباتات الوعائية واللاوعائية

البذور (مغطاة البذور - عاريات البذور)

الطحالب

النباتات الطبية


الحيوان

مواضيع عامة في علم الحيوان

علم التشريح

التنوع الإحيائي

البايلوجيا الخلوية


الأحياء المجهرية

البكتيريا

الفطريات

الطفيليات

الفايروسات


علم الأمراض

الاورام

الامراض الوراثية

الامراض المناعية

الامراض المدارية

اضطرابات الدورة الدموية

مواضيع عامة في علم الامراض

الحشرات


التقانة الإحيائية

مواضيع عامة في التقانة الإحيائية


التقنية الحيوية المكروبية

التقنية الحيوية والميكروبات

الفعاليات الحيوية

وراثة الاحياء المجهرية

تصنيف الاحياء المجهرية

الاحياء المجهرية في الطبيعة

أيض الاجهاد

التقنية الحيوية والبيئة

التقنية الحيوية والطب

التقنية الحيوية والزراعة

التقنية الحيوية والصناعة

التقنية الحيوية والطاقة

البحار والطحالب الصغيرة

عزل البروتين

هندسة الجينات


التقنية الحياتية النانوية

مفاهيم التقنية الحيوية النانوية

التراكيب النانوية والمجاهر المستخدمة في رؤيتها

تصنيع وتخليق المواد النانوية

تطبيقات التقنية النانوية والحيوية النانوية

الرقائق والمتحسسات الحيوية

المصفوفات المجهرية وحاسوب الدنا

اللقاحات

البيئة والتلوث


علم الأجنة

اعضاء التكاثر وتشكل الاعراس

الاخصاب

التشطر

العصيبة وتشكل الجسيدات

تشكل اللواحق الجنينية

تكون المعيدة وظهور الطبقات الجنينية

مقدمة لعلم الاجنة


الأحياء الجزيئي

مواضيع عامة في الاحياء الجزيئي


علم وظائف الأعضاء


الغدد

مواضيع عامة في الغدد

الغدد الصم و هرموناتها

الجسم تحت السريري

الغدة النخامية

الغدة الكظرية

الغدة التناسلية

الغدة الدرقية والجار الدرقية

الغدة البنكرياسية

الغدة الصنوبرية

مواضيع عامة في علم وظائف الاعضاء

الخلية الحيوانية

الجهاز العصبي

أعضاء الحس

الجهاز العضلي

السوائل الجسمية

الجهاز الدوري والليمف

الجهاز التنفسي

الجهاز الهضمي

الجهاز البولي


المضادات الميكروبية

مواضيع عامة في المضادات الميكروبية

مضادات البكتيريا

مضادات الفطريات

مضادات الطفيليات

مضادات الفايروسات

علم الخلية

الوراثة

الأحياء العامة

المناعة

التحليلات المرضية

الكيمياء الحيوية

مواضيع متنوعة أخرى

الانزيمات
الصابونيات Saponins
المؤلف:
زهرة محمود الخفاجي
المصدر:
التقنية الحيوية الميكروبية
الجزء والصفحة:
19-9-2016
1027
الصابونيات Saponins
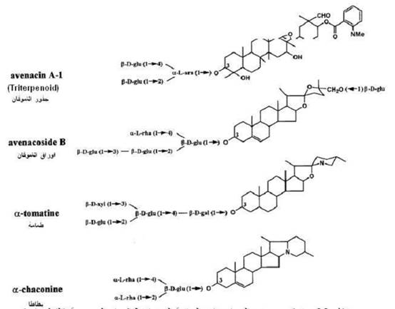
تضم مجموعة من المركبات منها Steroids Glycosylated و Steroidal alkaloid triterpnoids وتوجد بشكل طبيعي في النباتات ولها تأثير مضاد للفطريات. والمركبات موضح بعضها في الشكل (1).
وتكون بشكل غير فعال ولكنها تتحول الى شكل فعال عندما يحصل تدمير للأنسجة او الاصابة بالممرضات بواسطة الانزيم Glucosyl hydrolase.
آلية تأثير الصابونيات
اهم الآليات هو تكوينها معقدات مع الستيرولات الموجودة في الأغشية الخلوية والفطرية مؤدية الى اضطراب الأغشية ويمكن ان يحصل تجمع للمعقدات المتكونة وذلك بتداخل ثمالات السكر في الصابونيات فيما بينها، او انها تقوم باستخلاص الستيرولات من الأغشية الخلوية. وآلية التأثير موضحة في الشكل (2).

شكل 1 : تركيب بعض الصابونيات النباتية المضادة للأحياء المجهرية (الفطريات)
ويعد الجزء السكري من الصابونيات الاهم في احداث اضطرابات في الأغشية الخلوية وبالتالي الصفات المضادة للفطريات ولذلك فإزالته تؤدي الى فقدان تأثير الصابونيات على الفطريات، ويظهر التآزر بين مركبات الصابونيات لذات ظهر فعل أكبر ضد الفطريات.
وتتوزع الصابونيات على أجزاء النبات مضيفة عليها المقاومة للإصابة بالفطريات. وتوجد الصابونيات في عدد من أفراد العائلة الباذنجانية Solanaceae ومن أهمها الطماطة والبطاطا. فالطماطة تحوي في أوراقها على α – tomatin بتركيز 1 ملي مول والذي يكون كافيا لمنع نمو الفطريات. اما البطاطا فتحوي على مواد مضادة للفطريات اخرى مثل مجموعة Steroidal glycoalkaloids ومنها α – chaconine و α – solanine والفطريات التي تصيب البطاطا تدمر هذه المركبات بواسطة الانزيمات.

شكل 2 : آلية تأثير الصابونيات على الأغشية الخلوية
المصادر
الخفاجي , زهرة محمود (2008) . التقنية الحيوية الميكروبية (توجهات جزيئية ) . معهد الهندسة الوراثية والتقنية الحيوية . جامعة بغداد .
الاكثر قراءة في التقنية الحيوية والطب
اخر الاخبار
اخبار العتبة العباسية المقدسة
الآخبار الصحية

قسم الشؤون الفكرية يصدر كتاباً يوثق تاريخ السدانة في العتبة العباسية المقدسة
"المهمة".. إصدار قصصي يوثّق القصص الفائزة في مسابقة فتوى الدفاع المقدسة للقصة القصيرة
(نوافذ).. إصدار أدبي يوثق القصص الفائزة في مسابقة الإمام العسكري (عليه السلام)