

النبات

مواضيع عامة في علم النبات

الجذور - السيقان - الأوراق

النباتات الوعائية واللاوعائية

البذور (مغطاة البذور - عاريات البذور)

الطحالب

النباتات الطبية


الحيوان

مواضيع عامة في علم الحيوان

علم التشريح

التنوع الإحيائي

البايلوجيا الخلوية


الأحياء المجهرية

البكتيريا

الفطريات

الطفيليات

الفايروسات


علم الأمراض

الاورام

الامراض الوراثية

الامراض المناعية

الامراض المدارية

اضطرابات الدورة الدموية

مواضيع عامة في علم الامراض

الحشرات


التقانة الإحيائية

مواضيع عامة في التقانة الإحيائية


التقنية الحيوية المكروبية

التقنية الحيوية والميكروبات

الفعاليات الحيوية

وراثة الاحياء المجهرية

تصنيف الاحياء المجهرية

الاحياء المجهرية في الطبيعة

أيض الاجهاد

التقنية الحيوية والبيئة

التقنية الحيوية والطب

التقنية الحيوية والزراعة

التقنية الحيوية والصناعة

التقنية الحيوية والطاقة

البحار والطحالب الصغيرة

عزل البروتين

هندسة الجينات


التقنية الحياتية النانوية

مفاهيم التقنية الحيوية النانوية

التراكيب النانوية والمجاهر المستخدمة في رؤيتها

تصنيع وتخليق المواد النانوية

تطبيقات التقنية النانوية والحيوية النانوية

الرقائق والمتحسسات الحيوية

المصفوفات المجهرية وحاسوب الدنا

اللقاحات

البيئة والتلوث


علم الأجنة

اعضاء التكاثر وتشكل الاعراس

الاخصاب

التشطر

العصيبة وتشكل الجسيدات

تشكل اللواحق الجنينية

تكون المعيدة وظهور الطبقات الجنينية

مقدمة لعلم الاجنة


الأحياء الجزيئي

مواضيع عامة في الاحياء الجزيئي


علم وظائف الأعضاء


الغدد

مواضيع عامة في الغدد

الغدد الصم و هرموناتها

الجسم تحت السريري

الغدة النخامية

الغدة الكظرية

الغدة التناسلية

الغدة الدرقية والجار الدرقية

الغدة البنكرياسية

الغدة الصنوبرية

مواضيع عامة في علم وظائف الاعضاء

الخلية الحيوانية

الجهاز العصبي

أعضاء الحس

الجهاز العضلي

السوائل الجسمية

الجهاز الدوري والليمف

الجهاز التنفسي

الجهاز الهضمي

الجهاز البولي


المضادات الميكروبية

مواضيع عامة في المضادات الميكروبية

مضادات البكتيريا

مضادات الفطريات

مضادات الطفيليات

مضادات الفايروسات

علم الخلية

الوراثة

الأحياء العامة

المناعة

التحليلات المرضية

الكيمياء الحيوية

مواضيع متنوعة أخرى

الانزيمات
النمو المتوازن Balanced Growth
المؤلف:
زهرة محمود الخفاجي
المصدر:
موسوعة الحياة
الجزء والصفحة:
4-7-2017
2260
النمو المتوازن Balanced Growth
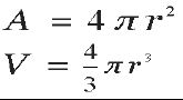
النمو الذي يكون متوازناً على مستوى مؤشرات النمو وهي الزيادة في الحجم والوزن والعدد، وبالنسبة للأحياء المجهرية وخاصة البكتريا والأحياء الوحيدة الخلية لابد من ترابط زيادة الحجم بزيادة العدد لأن عند كبر حجمها تتكون داخل الخلايا مواد أيضية التي لابد أن تطرح إلى الخارج عن طريق الأغشية الخلوية (نظراً لعدم امتلاكها أجهزة إفراز أو إخراج) وكبر الحجم يعيق أو يؤخر طرح المواد إلى الخارج فتموت الخلايا ما لم يتقلص حجمها بعملية الانقسام للتخفيف من هذه الظاهرة . لان اماكن الافراز تقع على السطوح التي تختلف نسبها مع الحجم ، ولان السطح يتناسب مع مربع نصف القطر ، في حين يتناسب الحجم مع مكعب نصف القطر وفق المعادلات الاتية :

ويتم الحصول على النمو المتوازن في الطور اللوغارتيمي أو التزايدي Log Phase اذ تصل الخلايا إلى الحجم المحدد مسبقاً بمعلومات وراثية ثم تبدأ الخلايا بالانقسام مكونة خلايا أصغر وتكبر الأخيرة إلى الحجم المحدد وتنقسم معيدة الدورة.
ويفضل النمو المتوازن للحصول على الكتلة الحيوية من الأحياء وفيه يمكن حساب وقت تضاعف الخلايا ووقت الجيل، وعادة يستعمل النمو المتوازن في أغلب العمليات الإنتاجية في بدايات عمليات الإنتاج لحين الوصول إلى كثافة محددة من الخلايا ثم تحور الظروف للوصول إلى ظروف الإنتاج التي قد لا تحتاج إلى النمو المتوازن مثل إنتاج مواد الأيض الثانوي ، اي تقل التفاعلات من عمليات الايض الاولي لتنتقل الى تفاعلات الايض الثانوي .
الاكثر قراءة في البكتيريا
اخر الاخبار
اخبار العتبة العباسية المقدسة
الآخبار الصحية

قسم الشؤون الفكرية يصدر كتاباً يوثق تاريخ السدانة في العتبة العباسية المقدسة
"المهمة".. إصدار قصصي يوثّق القصص الفائزة في مسابقة فتوى الدفاع المقدسة للقصة القصيرة
(نوافذ).. إصدار أدبي يوثق القصص الفائزة في مسابقة الإمام العسكري (عليه السلام)