

النبات

مواضيع عامة في علم النبات

الجذور - السيقان - الأوراق

النباتات الوعائية واللاوعائية

البذور (مغطاة البذور - عاريات البذور)

الطحالب

النباتات الطبية


الحيوان

مواضيع عامة في علم الحيوان

علم التشريح

التنوع الإحيائي

البايلوجيا الخلوية


الأحياء المجهرية

البكتيريا

الفطريات

الطفيليات

الفايروسات


علم الأمراض

الاورام

الامراض الوراثية

الامراض المناعية

الامراض المدارية

اضطرابات الدورة الدموية

مواضيع عامة في علم الامراض

الحشرات


التقانة الإحيائية

مواضيع عامة في التقانة الإحيائية


التقنية الحيوية المكروبية

التقنية الحيوية والميكروبات

الفعاليات الحيوية

وراثة الاحياء المجهرية

تصنيف الاحياء المجهرية

الاحياء المجهرية في الطبيعة

أيض الاجهاد

التقنية الحيوية والبيئة

التقنية الحيوية والطب

التقنية الحيوية والزراعة

التقنية الحيوية والصناعة

التقنية الحيوية والطاقة

البحار والطحالب الصغيرة

عزل البروتين

هندسة الجينات


التقنية الحياتية النانوية

مفاهيم التقنية الحيوية النانوية

التراكيب النانوية والمجاهر المستخدمة في رؤيتها

تصنيع وتخليق المواد النانوية

تطبيقات التقنية النانوية والحيوية النانوية

الرقائق والمتحسسات الحيوية

المصفوفات المجهرية وحاسوب الدنا

اللقاحات

البيئة والتلوث


علم الأجنة

اعضاء التكاثر وتشكل الاعراس

الاخصاب

التشطر

العصيبة وتشكل الجسيدات

تشكل اللواحق الجنينية

تكون المعيدة وظهور الطبقات الجنينية

مقدمة لعلم الاجنة


الأحياء الجزيئي

مواضيع عامة في الاحياء الجزيئي


علم وظائف الأعضاء


الغدد

مواضيع عامة في الغدد

الغدد الصم و هرموناتها

الجسم تحت السريري

الغدة النخامية

الغدة الكظرية

الغدة التناسلية

الغدة الدرقية والجار الدرقية

الغدة البنكرياسية

الغدة الصنوبرية

مواضيع عامة في علم وظائف الاعضاء

الخلية الحيوانية

الجهاز العصبي

أعضاء الحس

الجهاز العضلي

السوائل الجسمية

الجهاز الدوري والليمف

الجهاز التنفسي

الجهاز الهضمي

الجهاز البولي


المضادات الميكروبية

مواضيع عامة في المضادات الميكروبية

مضادات البكتيريا

مضادات الفطريات

مضادات الطفيليات

مضادات الفايروسات

علم الخلية

الوراثة

الأحياء العامة

المناعة

التحليلات المرضية

الكيمياء الحيوية

مواضيع متنوعة أخرى

الانزيمات
Bilirubin
المؤلف:
زهرة محمود الخفاجي
المصدر:
موسوعة الحياة
الجزء والصفحة:
13-7-2017
2248
Bilirubin
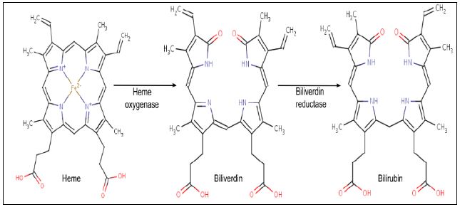
مركبا اصفر ينتج من هدم الهيموغلوبين ، سابقا كان يسمى Haematoidin ظهوره يدل على العملية التي تساعد في التخلص من كريات الدم الحمر القديمة بعد انتهاء عمرها لتذهب الى الطحال وتفكك مطلقة الهيموغلوبين اوHeme والكلوبين الذي يتحول الى حوامض امينية .المركب له الصيغة الكيماوية C33H36N4O6 ووزن جزيئي 584.67 غم/مول وله التركيب الاتي :

والهيم يتحول الى Unconjugated Bilirubin في Macrophages و Monocytes الموجودة في الطحال والشكل غير المقترن يكون غير ذائب في الماء نظرا لوجود الاواصر الهيدروجينية داخل وخارج الجزيئات المتكونة ، ويرتبط الى الالبومين ويرسل الى الكبد ، وهناك يرتبط المركب الى Glucuronic Acid ليكون النوع المقترن او المباشر واكثره يذهب الى الصفراء او الامعاء ، يفرز المركب في البول وافرازات الصفراء وزيادة مستوياته يمكن ان تشير الى وجود الامراض ، وهو المسئول عن اللون الاصفر في حالة اليرقان (ابوصفار ) ولون الغائط البني .

يتكون من حلقات ترتبط 4 منها مكونة Porphyrin Ring ترتبط الى Glucuronic Acid يتحول الى شكل مقترنConjugate والمركب يشبه في بعض الاوجه Phycobilin الطحلبي في اقتناصه للضوء ، ويشبه Phytochromes النباتية التي تتحسس الضوء وكلها تحوي التركيب الحلقي . وظيفته في الدورة التي يدخلها هو مضادة الاكسدة

ومستوى المركب يعكس التوازن بين الانتاج والافراز وبصورة عامة تكون مستوياته مبينة في الاتي :

وتختلف النسب في الاطفال اعتمادا على موعد الولادة فالقيم الطبيعية في الخدج تختلف عن الولادات الطبيعية كما مبين في الاتي: الخدج

الولادات الطبيعية


الاكثر قراءة في الأحياء العامة
اخر الاخبار
اخبار العتبة العباسية المقدسة
الآخبار الصحية

قسم الشؤون الفكرية يصدر كتاباً يوثق تاريخ السدانة في العتبة العباسية المقدسة
"المهمة".. إصدار قصصي يوثّق القصص الفائزة في مسابقة فتوى الدفاع المقدسة للقصة القصيرة
(نوافذ).. إصدار أدبي يوثق القصص الفائزة في مسابقة الإمام العسكري (عليه السلام)