علم الكيمياء
تاريخ الكيمياء والعلماء المشاهير
التحاضير والتجارب الكيميائية
المخاطر والوقاية في الكيمياء
اخرى
مقالات متنوعة في علم الكيمياء
كيمياء عامة
الكيمياء التحليلية
مواضيع عامة في الكيمياء التحليلية
التحليل النوعي والكمي
التحليل الآلي (الطيفي)
طرق الفصل والتنقية
الكيمياء الحياتية
مواضيع عامة في الكيمياء الحياتية
الكاربوهيدرات
الاحماض الامينية والبروتينات
الانزيمات
الدهون
الاحماض النووية
الفيتامينات والمرافقات الانزيمية
الهرمونات
الكيمياء العضوية
مواضيع عامة في الكيمياء العضوية
الهايدروكاربونات
المركبات الوسطية وميكانيكيات التفاعلات العضوية
التشخيص العضوي
تجارب وتفاعلات في الكيمياء العضوية
الكيمياء الفيزيائية
مواضيع عامة في الكيمياء الفيزيائية
الكيمياء الحرارية
حركية التفاعلات الكيميائية
الكيمياء الكهربائية
الكيمياء اللاعضوية
مواضيع عامة في الكيمياء اللاعضوية
الجدول الدوري وخواص العناصر
نظريات التآصر الكيميائي
كيمياء العناصر الانتقالية ومركباتها المعقدة
مواضيع اخرى في الكيمياء
كيمياء النانو
الكيمياء السريرية
الكيمياء الطبية والدوائية
كيمياء الاغذية والنواتج الطبيعية
الكيمياء الجنائية
الكيمياء الصناعية
البترو كيمياويات
الكيمياء الخضراء
كيمياء البيئة
كيمياء البوليمرات
مواضيع عامة في الكيمياء الصناعية
الكيمياء الاشعاعية والنووية
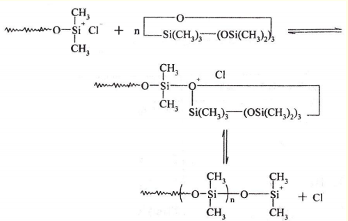
البلمرة الكاتيونية للسايلوكسانات الحلقية Cationic Polymerization of Cyclic Siloxanes
المؤلف:
د. عمر بن عبدالله الهزازي
المصدر:
كيمياء البوليمرات
الجزء والصفحة:
ص 308
14-11-2017
760
البلمرة الكاتيونية للسايلوكسانات الحلقية Cationic Polymerization of Cyclic Siloxanes
تجري البلمرة الكاتيونية للسايلوكسانات الحلقية عادة باستخدام الاحماض البروتونية (Protonic acids) أحماض لويس كعوامل حفازة وتجري مرحلة البدء والتكاثر كما يلي:
مرحلة التكاثر:
الاكثر قراءة في كيمياء البوليمرات
اخر الاخبار
اخبار العتبة العباسية المقدسة

الآخبار الصحية
