

النبات

مواضيع عامة في علم النبات

الجذور - السيقان - الأوراق

النباتات الوعائية واللاوعائية

البذور (مغطاة البذور - عاريات البذور)

الطحالب

النباتات الطبية


الحيوان

مواضيع عامة في علم الحيوان

علم التشريح

التنوع الإحيائي

البايلوجيا الخلوية


الأحياء المجهرية

البكتيريا

الفطريات

الطفيليات

الفايروسات


علم الأمراض

الاورام

الامراض الوراثية

الامراض المناعية

الامراض المدارية

اضطرابات الدورة الدموية

مواضيع عامة في علم الامراض

الحشرات


التقانة الإحيائية

مواضيع عامة في التقانة الإحيائية


التقنية الحيوية المكروبية

التقنية الحيوية والميكروبات

الفعاليات الحيوية

وراثة الاحياء المجهرية

تصنيف الاحياء المجهرية

الاحياء المجهرية في الطبيعة

أيض الاجهاد

التقنية الحيوية والبيئة

التقنية الحيوية والطب

التقنية الحيوية والزراعة

التقنية الحيوية والصناعة

التقنية الحيوية والطاقة

البحار والطحالب الصغيرة

عزل البروتين

هندسة الجينات


التقنية الحياتية النانوية

مفاهيم التقنية الحيوية النانوية

التراكيب النانوية والمجاهر المستخدمة في رؤيتها

تصنيع وتخليق المواد النانوية

تطبيقات التقنية النانوية والحيوية النانوية

الرقائق والمتحسسات الحيوية

المصفوفات المجهرية وحاسوب الدنا

اللقاحات

البيئة والتلوث


علم الأجنة

اعضاء التكاثر وتشكل الاعراس

الاخصاب

التشطر

العصيبة وتشكل الجسيدات

تشكل اللواحق الجنينية

تكون المعيدة وظهور الطبقات الجنينية

مقدمة لعلم الاجنة


الأحياء الجزيئي

مواضيع عامة في الاحياء الجزيئي


علم وظائف الأعضاء


الغدد

مواضيع عامة في الغدد

الغدد الصم و هرموناتها

الجسم تحت السريري

الغدة النخامية

الغدة الكظرية

الغدة التناسلية

الغدة الدرقية والجار الدرقية

الغدة البنكرياسية

الغدة الصنوبرية

مواضيع عامة في علم وظائف الاعضاء

الخلية الحيوانية

الجهاز العصبي

أعضاء الحس

الجهاز العضلي

السوائل الجسمية

الجهاز الدوري والليمف

الجهاز التنفسي

الجهاز الهضمي

الجهاز البولي


المضادات الميكروبية

مواضيع عامة في المضادات الميكروبية

مضادات البكتيريا

مضادات الفطريات

مضادات الطفيليات

مضادات الفايروسات

علم الخلية

الوراثة

الأحياء العامة

المناعة

التحليلات المرضية

الكيمياء الحيوية

مواضيع متنوعة أخرى

الانزيمات
حامض الدوميك Domoic Acid
المؤلف:
زهرة محمود الخفاجي
المصدر:
موسوعة الحياة
الجزء والصفحة:
12-2-2018
2764
حامض الدوميك Domoic Acid
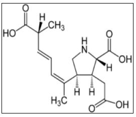
حامض أميني ذائب في الماء يسبب تسمم للأعصاب مؤدياً الى فقدان الذاكرة المؤقت ويرتبط بحالة التسمم بالمحار المفقد للذاكرة . تنتجه بعض الطحالب الحمر منها Chondria armata وكذلك ينتج من بعض الدايوتومات التابعة لجنس Pseudo-nitzschia مثل Ps. australis والطحلب الأحمرAlsidium corallinum ، وعندما تحصل زيادة وعنفوان لهذه الطحالب وتأكلها الأسماك والمخلوقات البحرية الأخرى يتراكم في أجسامها دون التأثير فيها . للمركب الصيغة التركيبية آلاتية :

والحامض يستعمل للأغراض الطبية كمضاد للديدان. يؤدي الحامض عند التغذي على الأسماك والأحياء البحرية المتغذية على الهائمات Plankton الطحلبية المنتجة له الى إتلاف بعض المناطق في الدماغ وخاصة منطقة الحُصين Hippocampus مما يؤدي الى فقدان الذاكرة المستديم ، ويدمر الأعصاب وذلك بارتباطه ببعض المستلمات على سطوحها مؤدياً الى تغير في تراكيز الكالسيوم اذ يسمح بدخول كميات كبيرة منه مما يؤدي الى حدوث ضرر وتلاشي للخلايا العصبية وفي حالات التسمم الشديد يؤدي الى الموت . وقد حدثت حالات تسمم كبيرةبهذا ا لحامض في الاعوام 1987 و 1991 مما أدى الى غلق مصائد الأسماك في بعض المناطق ، والتي بدأت بملاحظة موت عددا" كبيرا" من الطيور المائية التي تتناول الأسماك البحرية التي تغذت على الطحالب المنتجة للحامض .
الاكثر قراءة في الأحياء العامة
اخر الاخبار
اخبار العتبة العباسية المقدسة
الآخبار الصحية

قسم الشؤون الفكرية يصدر كتاباً يوثق تاريخ السدانة في العتبة العباسية المقدسة
"المهمة".. إصدار قصصي يوثّق القصص الفائزة في مسابقة فتوى الدفاع المقدسة للقصة القصيرة
(نوافذ).. إصدار أدبي يوثق القصص الفائزة في مسابقة الإمام العسكري (عليه السلام)