
الادارة الهندسية

الانشاءات

الطرق والمواصلات

الموارد المائية

هندسة الجيوتكنك
قطاع التداخل
المؤلف:
جمهورية مصر العربية - وزارة الاسكان والمرافق والمجتمعات العمرانية (مركز بحوث الاسكان والبناء )
المصدر:
الكود المصري لأعمال الطرق الحضرية والخلوية
الجزء والصفحة:
ص47 - 61 الجزء الثاني - الباب الخامس (قطاع التداخل )
2023-07-23
2192
Weaving Areas
5-1 قطاع التداخل
التداخل هو تقاطع اتجاهان المرور أو أكثر يسيران في نفس الطريق وفي نفس الاتجاه دون وجود وسيلة للتحكم في حركة أي منهم وتتكون قطاعات التداخل عامة عند وجود نقاط اندماج يتبعها نقاط انفراج ، أو عند وجود منحدر دخول Ramp - On يليه منحدر خروج Off - Ramp مع إضافة حارة بينهما.
وتتطلب قطاعات التداخل مناورات تغيير حارات المرور حتى يتمكن قائدو المركبات من إختيار الحارة المناسبة قبل نقطة الخروج من الطريق ، ولهذا فإن خصائص المرور في هذه القطاعات تختلف عن تلك في القطاعات الممتدة من الطرق ، ويوضح شكل رقم ( 5 - 1 ) تكوين قطاع التداخل حيث يتبين الآتى :
• تدفقات المرور ا - د ، ب - ج تسمى تدفقات التداخل Weaving flows
• تدفقات المرور ا - ج ، ب ـ د تسمى تدفقات غير متداخلة Non-Weaving flows
5-2 طول قطاع التداخل :
يحسب طول قطاع التداخل من منطقة الإندماج عندما تبعد الحافة اليمنى من الحارة الخارجية للطريق مسافة 0.60 متر عند الحافة الخارجية لحارة ( أو حارات ) الإندماج إلى نقطة عند منطقة الإنفراج تكون عندها المسافة بين حافة الحارة الخارجية للطريق وحافة منحدر الخروج قدرها 3.60 متر ، ويوضح الشكل رقم ( 5-2 ) طول قطاع التداخل.
5-3 أنواع قطاع التداخل:
توجد ثلاثة أنواع من قطاعات التداخل أ ، ب ، جـ على النحو الموضح في الأشكال أرقام / (5-3) (5- 4) ، (5-5) على الترتيب ، ويتحدد كل نوع حسب أقل عدد مطلوب من مناورات تغيير الحارات حتى يتمكن قائدوا المركبات م إستكمال رحلاتهم، وفيما يلى شرح لكل نوع من الأنواع الثلاثة:
1- قطاع تداخل نوع ( أ ) :
يتطلب هذا النوع القيام بمناورة واحدة لتغيير الحارات ، فمثلا فإن شكل رقم ( 5-3 - أ ) يوضح نقطة إندماج يليها نقطة إنفراج مع وجود حارة إضافة بينهما ولهذا فإن المركبات التي تدخل الطريق الرئيسي من منحدر الدخول تقوم بمناورة واحدة للدخول في الحارات الأساسية للطريق ، كذلك المركبات التي سوف تخرج من الطريق الرئيسي تقوم بمناورة واحدة للوصول لمنحدر الخروج .
ويوضح الشكل رقم ( 5 - 3 - ب ) قطاع تداخل رئيسي ناتج عن إندماج وإنفراج لطرق متعددة الحارات حيث يلتقى طريقان كل منهما حارتين ليكونا طريق ذو 4 حارات ثم ينفصلا مرة أخرى ليصبحا طريقين كل منهما حارتين .
2- قطاع تداخل نوع ( ب ) :
يتميز قطاع تداخل نوع ( ب ) عن باقي الأنواع بالخصائص الآتية :
• يمكن لإحدى تدفقات التداخل أن تتم مناورتها دون تغيير الحارات .
• تتطلب باقي تدفقات التداخل تغيير الحارات على الأقل مرة واحدة .
ويوضح شكل رقم ( 5 - 4 ) نماذج لقطاع تداخل من النوع ( ب ) حيث يتبين في الجزئين (أ) و (ب) من الشكل أن الإتجاه ( أ - د ) يتطلب تغير الحارات مرة واحدة بينما الإتجاه ( ب ـ جـ ) لا يتطلب تغيير الحارات ، وفى الجزء ( جـ ) من الشكل يتبين أن كلاً من اتجاهي الحركة ( أ - د ) ، ( ب - جـ ) لا يتطلب تغيير الحارات .
3- قطاع تداخل نوع ( جـ ) :
يتميز قطاع تداخل نوع ( جـ ) بالخصائص الآتية :
يمكن لإحدى تدفقات التداخل أن تتم مناورتها دون تغيير الحارات .
تتطلب باقي تدفقات التداخل تغيير الحارات على الأقل مرتين .
ويوضح الشكل رقم ( 5 - 5 ) نماذج لقطاع تداخل نوع ( جـ ) حيث يتبين في الجزء (أ) من الشكل أن الإتجاه ( أ - د ) يتطلب تغيير الحارات مرتين بينما الإتجاه ( ب - جـ ) لا يتطلب تغيير الحارات وفي الجزء (ب) من الشكل فإن الإتجاه ( أ - د ) لا يتطلب تغيير الحارات بينما يتطلب الإتجاه ( ب - جـ ) تغيير الحارات ثلاث مرات وكما سبق ذكره فإن تحديد نوع قطاع التداخل يعتمد على عدد مرات تغيير الحارات لكل تدفق من تدفقات التداخل ويوضح جدول رقم (5-1 ) كيفية تحديد نوع قطاع التداخل.
5-4 عرض قطاع التداخل:
يقاس عرض قطاع التداخل حسب عدد حارات المرور عند القطاع ، وتتأثر حركة المرور في قطاع التداخل بنسبة إستخدام هذه الحارات بين تدفقات التداخل وباقي التدفقات الغير متداخلة، ويظهر هذا التأثير بشكل أكبر في قطاع تداخل نوع (أ) حيث تتركز مناورات تغيير الحارات حول الخط الفاصل Crown Line وتكون بشكل أقل في قطاع تداخل نوع ( ب ) .
وبصفة عامة فإن المركبات في قطاع التداخل تحاول إستخدام الحارات المتوفرة بحيث تتساوى مجموعات المركبات ( سواء التي تغير حاراتها أو غيرها ) في متوسط سرعة السير ، ويكون ذلك بأن تنقسم حارات المرور بين كل من تدفقات التداخل والتدفقات الغير المتداخلة حسب عدد المركبات فى كل نوع تدفق ، وفى هذه الحالة يكون التشغيل من النوع الغير مقيد Unconstrained ويكون الفرق في متوسط سرعة السير بين كلا التدفقين حوالى 8 كم / ساعة أو أقل ، أما في حالة عدم تناسب إستغلال حارات قطاع التداخل مع تدفقات المرور المختلفة فإن التشغيل يكون مقيد Constrained وتكون سرعة المركبات في تدفقات التداخل أقل بكثير من تلك لباقي تدفقات المرور .
5-5 عناصر قطاع التداخل
يوضح جدول رقم ( 5 - 2 ) العناصر المكونة لقطاع التداخل والتي سوف تستخدم لتقدير متوسط سرعة السير ومستوى الخدمة المرورى .
5-5-1 تقدير متوسط سرعة السير :
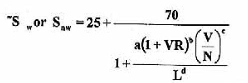
بصورة عامة يمكن تقدير متوسط سرعة السير لتدفقات التداخل أو التدفقات الغير متداخلة من المعادلة الآتية :

حيث :
Sw = السرعة المتوسطة للسير العربات المتداخلة بالكم/ساعة
Saw= السرعة المتوسطة للسير العربات الغير المتداخلة بالكم / ساعة
VR = نسبة حجم المرور
V= معدل التدفق الكلي في سطح التداخل مركبة ركاب/ في الساعة
N = عدد الحارات في سطح التداخل
L = طول مسطح التداخل بالمتر
حيث d , c , c b, a هي ثوابت للمعادلة تؤخذ من الجدول رقم ( 5 - 3 ) حسب نوع قطاع التناسج وحالة التشغيل التي يمكن تحديدها بناء على عدد حارات المرور في قطاع التناسج وبإستخدام المعادلات في الجدول رقم ( 5 - 4 ) التي تحسب عدد الحارات المطلوبة للتشغيل الغير مقيد Unconstrained فإذا قلت عدد حارات المرور المتوفرة في قطاع التداخل عن تلك المحسوبة في المعادلة فإن التشغيل يكون مقيد Unstrained ثم تحسب متوسط سرعة السير بناءاً على ذلك .
ملاحظة :
قطاع التداخل غير مقيد في حالة max) ≥ Nw) NW
قطاع التداخل مقيد في حالة max) < Nw ) NW
وفي حالة تقدير السرعة على الطرق العلوية بالقاهرة الكبرى ( أو ما شابه ذلك ) يمكن الإستعانة بمعادلة تم الحصول عليها لمناطق تداخل من نوع ( أ ) واقعة فى القاهرة الكبرى من واقع رسالة ماجستير بكلية الهندسة جامعة القاهرة تم نشرها بالمرجع ( * ) والتي تأخذ الصورة الآتية :

حيث الرموز هى نفس الرموز المذكورة من قبل، فيما عدا W التي ترمز لعرض قطاع التداخل بالمتر ، أما الثوابت فكما هو موضح في جدول رقم ( 5 - 3 ) .
5-5-2 خصائص مستوى الخدمة المرورية :
تعتمد مستويات الخدمة في قطاعات التداخل على سرعة السير لتدفقات التداخل وغير التداخل ويتم حساب مستوى الخدمة لكل تدفق على حدة حسب الجدول رقم ( 5 - 5 ) . وبصفة عامة فإن سرعة الرحلة لتدفقات المرور المتداخلة تكون أقل من تلك التدفقات الغير متداخلة وذلك عند نفس مستوى الخدمة المرورية .
5-5-3 حدود التشغيل في قطاعات التداخل:
يوضح جدول رقم ( 5 - 6 ) حدود التشغيل المسموح بها في قطاعات التداخل وهي تمثل الحدود القصوى لتدفقات التداخل وحجم المرور في كل حارة ونسب حجم المرور ونسب تدفقات التداخل، فإذا زادت قيم هذه العناصر عن الحدود القصوى فإنه لا يمكن إستخدام المعادلات السابق ذكرها مع ضرورة تغيير طرق الإندماج والإنفراج لإستيعاب تدفقات التداخل فى الحدود المسموح بها .






الاكثر قراءة في الطرق والمواصلات
اخر الاخبار
اخبار العتبة العباسية المقدسة
الآخبار الصحية

قسم الشؤون الفكرية يصدر كتاباً يوثق تاريخ السدانة في العتبة العباسية المقدسة
"المهمة".. إصدار قصصي يوثّق القصص الفائزة في مسابقة فتوى الدفاع المقدسة للقصة القصيرة
(نوافذ).. إصدار أدبي يوثق القصص الفائزة في مسابقة الإمام العسكري (عليه السلام)