
تاريخ الفيزياء

علماء الفيزياء


الفيزياء الكلاسيكية

الميكانيك

الديناميكا الحرارية


الكهربائية والمغناطيسية

الكهربائية

المغناطيسية

الكهرومغناطيسية


علم البصريات

تاريخ علم البصريات

الضوء

مواضيع عامة في علم البصريات

الصوت


الفيزياء الحديثة


النظرية النسبية

النظرية النسبية الخاصة

النظرية النسبية العامة

مواضيع عامة في النظرية النسبية

ميكانيكا الكم

الفيزياء الذرية

الفيزياء الجزيئية


الفيزياء النووية

مواضيع عامة في الفيزياء النووية

النشاط الاشعاعي


فيزياء الحالة الصلبة

الموصلات

أشباه الموصلات

العوازل

مواضيع عامة في الفيزياء الصلبة

فيزياء الجوامد


الليزر

أنواع الليزر

بعض تطبيقات الليزر

مواضيع عامة في الليزر


علم الفلك

تاريخ وعلماء علم الفلك

الثقوب السوداء


المجموعة الشمسية

الشمس

كوكب عطارد

كوكب الزهرة

كوكب الأرض

كوكب المريخ

كوكب المشتري

كوكب زحل

كوكب أورانوس

كوكب نبتون

كوكب بلوتو

القمر

كواكب ومواضيع اخرى

مواضيع عامة في علم الفلك

النجوم

البلازما

الألكترونيات

خواص المادة


الطاقة البديلة

الطاقة الشمسية

مواضيع عامة في الطاقة البديلة

المد والجزر

فيزياء الجسيمات


الفيزياء والعلوم الأخرى

الفيزياء الكيميائية

الفيزياء الرياضية

الفيزياء الحيوية

الفيزياء والفلسفة

الفيزياء العامة


مواضيع عامة في الفيزياء

تجارب فيزيائية

مصطلحات وتعاريف فيزيائية

وحدات القياس الفيزيائية

طرائف الفيزياء

مواضيع اخرى
تعيين عدد الجزيئات في الوحدة البنائية
المؤلف:
أ.د. نعيمة عبد القادر أحمد / أ.د. محمد أمين سلمان
المصدر:
علم البلورات والاشعة السينية
الجزء والصفحة:
ص180–182
2023-09-26
1894
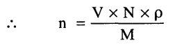
يمكن قياس كثافة البلورة بطريقة سهلة ألا وهي طريقة الطفو floatation ومن تعيين أبعاد الوحدة البنائية يمكن حساب حجم الوحدة البنائية وبالتالي يكون من السهل حساب وزن المادة في الوحدة البنائية ومنها يتم حساب n وهو عدد الجزيئات فيها.
فإذا كانت ρ هي كثافة البلورة، M الوزن الجزيئي:

حيث N هو عدد أفوجادرو.
وتعيين العدد n ذو أهمية كبيرة في تعيين التركيب البلوري حيث إنه بمعلومية المجموعة الفراغية يمكن حساب عدد الجزيئات في الوحدة غير المتماثلة (عدد الوحدات غير المتماثلة هو عدد الأوضاع المتكافئة) فالجداول الدولية International Tables vol. 1 تحتوي على عدد الأوضاع المتكافئة لكل المجموعات الفراغية.
في بعض الأحيان تكون معرفة عدد الجزيئات في الوحدة غير المتماثلة لها تأثير كبير في تقليل عدد المجاهيل المطلوب معرفتها للوصول لمعرفة التركيب وذلك إذا كانت الوحدة غير المتماثلة تحتوي على 1/2 أو 1/3 أو 1/4 ... من الجزيئي فقط.
مثال:الجدول الآتي يحتوي على المجموعات الفراغية للنظام أحادي الميل Monoclinic والانعكاسات الموجودة في كل مجموعة.
جدول (6-6)

استنبط الترتيب الفراغي للبلورات التي رصدت لها الشروط الآتية لظهور الانعكاسات المختلفة:
أ –
hkl: لا توجد شروط
hol: لا توجد شروط
oko: k=2n
ب –
hkl: لا توجد شروط
hol: l=2n
oko: k=2n
جـ –
hkl: h+k=2n
hol: h=2n
oko: k=2n
د –
hkl: لا توجد شروط
hol: لا توجد شروط
oko: لا توجد شروط
(الإجابة: أ - p21 أو P21/m ب - P21/c جـ - C2 أو C2/m د – P2 أو Pc أو P2/m)
الاكثر قراءة في مواضيع عامة في الفيزياء الصلبة
اخر الاخبار
اخبار العتبة العباسية المقدسة
الآخبار الصحية

قسم الشؤون الفكرية يصدر كتاباً يوثق تاريخ السدانة في العتبة العباسية المقدسة
"المهمة".. إصدار قصصي يوثّق القصص الفائزة في مسابقة فتوى الدفاع المقدسة للقصة القصيرة
(نوافذ).. إصدار أدبي يوثق القصص الفائزة في مسابقة الإمام العسكري (عليه السلام)