
تاريخ الفيزياء

علماء الفيزياء


الفيزياء الكلاسيكية

الميكانيك

الديناميكا الحرارية


الكهربائية والمغناطيسية

الكهربائية

المغناطيسية

الكهرومغناطيسية


علم البصريات

تاريخ علم البصريات

الضوء

مواضيع عامة في علم البصريات

الصوت


الفيزياء الحديثة


النظرية النسبية

النظرية النسبية الخاصة

النظرية النسبية العامة

مواضيع عامة في النظرية النسبية

ميكانيكا الكم

الفيزياء الذرية

الفيزياء الجزيئية


الفيزياء النووية

مواضيع عامة في الفيزياء النووية

النشاط الاشعاعي


فيزياء الحالة الصلبة

الموصلات

أشباه الموصلات

العوازل

مواضيع عامة في الفيزياء الصلبة

فيزياء الجوامد


الليزر

أنواع الليزر

بعض تطبيقات الليزر

مواضيع عامة في الليزر


علم الفلك

تاريخ وعلماء علم الفلك

الثقوب السوداء


المجموعة الشمسية

الشمس

كوكب عطارد

كوكب الزهرة

كوكب الأرض

كوكب المريخ

كوكب المشتري

كوكب زحل

كوكب أورانوس

كوكب نبتون

كوكب بلوتو

القمر

كواكب ومواضيع اخرى

مواضيع عامة في علم الفلك

النجوم

البلازما

الألكترونيات

خواص المادة


الطاقة البديلة

الطاقة الشمسية

مواضيع عامة في الطاقة البديلة

المد والجزر

فيزياء الجسيمات


الفيزياء والعلوم الأخرى

الفيزياء الكيميائية

الفيزياء الرياضية

الفيزياء الحيوية

الفيزياء والفلسفة

الفيزياء العامة


مواضيع عامة في الفيزياء

تجارب فيزيائية

مصطلحات وتعاريف فيزيائية

وحدات القياس الفيزيائية

طرائف الفيزياء

مواضيع اخرى
القياس المطلق ومعامل الحرارة: Absolute Scaling and Temperature Factors
المؤلف:
أ.د. نعيمة عبد القادر أحمد / أ.د. محمد أمين سلمان
المصدر:
علم البلورات والاشعة السينية
الجزء والصفحة:
ص193–196
2023-09-27
1626
مع أن المعلومات المحتواة في نتائج اختزال بيانات الحيود لا يمكن استخدامها بصفة مباشرة في تعيين التركيب البلوري إلا أنه يمكن الحصول منها على حقائق مفيدة فمن المقارنة بين البيانات العملية وتلك المتوقعة نظريا لبلورة تتكون من ترتيب عشوائي للذرات يمكن وضع قيم F في المقياس المطلق كذلك يمكن الحصول على معامل الذبذبة الحراري للذرات وتسمى هذه الطريقة طريقة ويلسون Wilson.A. J. C
وكمقدمة لهذه الطريقة يجب أن نأخذ في الاعتبار تأثير درجة الحرارة على شدة الأشعة المنعكسة فكما أوردنا سابقا فإن انخفاض قدرة الذرة على التشتيت للانعكاسات التي تزيد فيها قيمة λ/θsin يعزى إلى حجم السحابة الإلكترونية المحدودة حول النواة. وكلما ازدادت هذه السحابة لعدد معين من الإلكترونات ازدادت سرعة النقصان في معامل الاستطارة (التشتت). والشكل البياني الطبيعي لمعامل الاستطارة يمكن حسابه على أساس التوزيع الإلكتروني في الذرة الساكنة ولكن في الواقع تكون الذرات في البلورات دائما متذبذبة حول أماكنها الساكنة ومقدار التذبذب يعتمد على درجة الحرارة وكتلة الذرة وكذلك على القوى التي تجعلها ثابتة في مكانها بواسطة رابطة تساهمية مثلا أو غيرها وبصفة عامة كلما ازدادت الحرارة ازدادت الذبذبة.
ويكون تأثير الحركة الحرارية هذه هو انتشار الكثافة الإلكترونية على حجم أكبر، وهذا يجعل قدرة الذرة على الاستطارة تقل بسرعة أكثر منها في حالة الذرة المثالية في التركيب الساكن، وقد أمكن نظريا وعمليا إثبات أن القدرة على الاستطارة تتغير حسب المعادلة:

حيث تكون العلاقة بين B ومتوسط السعة المربعة (μ̅ 2) للذبذبة الذرية كالاتي:

أي أن معامل الاستطارة لذرة حقيقية ليس ببساطة f0 ولكنه عبارة عن:

انظر شكل (7-3).

(3-7)
ومن الأفضل الحصول على قيمة B للبلورة كلها قبل بداية تعيين التركيب، ومع أن التجارب أثبتت أنه يمكن التكهن بقيمة عادة تكون ما بين 2.0 إلى 5.0 Å إلا أن طريقة ويلسون تعطينا قيمة أدق.
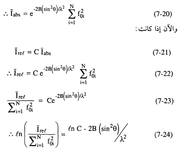
والآن دعنا نعرف قيمة لمتوسط شدة الانعكاس التي صوبت لمعاملي لورنتز والاستقطاب LP بحيث تكون كالآتي:

وفي حالة الوحدة البنائية التي تحتوي على عدد N من الذرات يمكن إثبات أن متوسط شدة الانعكاس نظريا يعطى بالمعادلة:

أي أن متوسط شدة الأشعة يعتمد على ما هو موجود في الوحدة البنائية للبلورة وليس على مكان وجودها، وحيث إن المشكلة هي مشكلة إحصائية فلذلك نشأت صعوبات إن كانت محتويات الوحدة تختلف كثيرا عن التوزيع العشوائي ولكن في حالة المركبات العضوية فالحال ليس كذلك والنسبة بين ̅Iabs̅ و Irel̅ يجب أن تكون هي مقدار معامل القياس scaling factor المطلوب معرفته لكي تغير قيم Irel إلى المقياس المطلق، ولكن الموضوع لا يتم بهذه البساطة لسببين أولهما أن قيم F ليست ثابتة ولكنها تتغير بتغير λ/θsin. ولذلك قيم ̅Iabs̅ تتغير هي الأخرى مع تغير λ/θsin وهذا التغير عادة يؤخذ في الاعتبار ولذلك يقسم الفضاء العكسي reciprocal space إلى قشيرات متحدة المركز ورقيقة السمك بحيث إن التغير في قيمة F مع λ/θsin خلال كل قشرة يمكن إهماله ثم يحسب المتوسط لقيم Irel من الانعكاسات في كل قشرة على حدة، وهذه القيم لـ Irel̅ يمكن أن تقارن بعد ذلك مع القيم المحسوبة ̅Iabs̅ من قيم F الخاصة بكل قشرة.
أما المشكلة الثانية وهي الأخطر فهي أن قيم f's اللازمة للمعادلة (18-7) هي تلك القيم التي تصف الذرات كما هي في البلورة أي أنها تتذبذب بفعل الحرارة ولذلك يجب أن تتحد المعادلتان (17-7)، (18-7).

ولتعيين قيمة B نفترض أن لها نفس القيمة لكل الذرات ...
وهكذا إذا تم حساب الجانب الأيسر من المعادلة لكل قشرة لها القيم الثابتة. انظر شكل (7-4).

شكل (7-4)
طريقة ويلسون لتعيين معامل القياس والمعامل الحراري
الاكثر قراءة في مواضيع عامة في الفيزياء الصلبة
اخر الاخبار
اخبار العتبة العباسية المقدسة
الآخبار الصحية

قسم الشؤون الفكرية يصدر كتاباً يوثق تاريخ السدانة في العتبة العباسية المقدسة
"المهمة".. إصدار قصصي يوثّق القصص الفائزة في مسابقة فتوى الدفاع المقدسة للقصة القصيرة
(نوافذ).. إصدار أدبي يوثق القصص الفائزة في مسابقة الإمام العسكري (عليه السلام)