بلورات الغازات الخاملة
المؤلف:
أ.د. نعيمة عبد القادر أحمد / أ.د. محمد أمين سلمان
المصدر:
علم البلورات والاشعة السينية
الجزء والصفحة:
ص265–269
2023-10-01
2011
تعتبر بلورات الغازات الخاملة من أبسط أنواع البلورات المعروفة ويلخص الجدول (1-2) خواص تلك البلورات عند درجة حرارة الصفر المطلق. وهي بلورات شفافة وعازلة وروابطها واهية، كما أن درجات انصهارها منخفضة للغاية. وتتكون من ذرات ذات طاقات تأين مرتفعة جدا.
جدول (1-9)
خواص بلورات الغازات الخاملة

وذرات هذه الغازات لها قشرات إلكترونية خارجية ممتلئة تماما، كما أن توزيع. الشحنات الإلكترونية في الذرات الحرة كروي التماثل. وعند تكون بلورة من تلك الذرات فإن الأخيرة تتراص بشكل متلاصق إلى أقصى حد؛ ولذا تكون البلورات من النوع المكعبي متلاحم التراص (مكعبي متمركز الأوجه FCC) (الشكل 9-2). على أن نظيري الهليوم He3، He4 لا يتجمدان مطلقا حين يكون الضغط الواقع عليهما صفرا حتى ولو انخفضت درجة الحرارة إلى قرب الصفر المطلق. وهنا يبرز سؤال حول ما الذي يجعل بلورة الغاز الخامل تتماسك. اعتبر أن لدينا ذرتين من غاز خامل تفصلهما مسافة مقدارها R، أكبر من نصف قطر أي ذرة. ولما كانت

شكل (2-9)
التركيب البلوري للغازات الخاملة Ne. Ar. Kr. Xe
وهو مكعبي متلاصق الرص FCC
الإلكترونات الخارجية في حالة حركة دائبة حول النواة حتى في أدنى الحالات الإلكترونية لذلك يكون هناك احتمال لوجود عزم ثنائي قطب كهربي نتيجة لهذه الحركة. فإذا كان عزم ثنائي القطب اللحظي هو 1P فإنه ينشئ مجالا كهربائيا شدته:
E = 2P1 / R3
(انظر الشكل 3-9) عند مركز الذرة الثانية التي تبعد مسافة مقدارها R عن الذرة الأولى، وهذا المجال نفسه ينشئ عزم ثنائي القطب لحظيا هو

عند الذرة الثانية، وα هي الاستقطابية الإلكترونية (وهي عزم ثنائي القطب لوحدة شدة المجال الكهربائي).
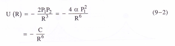
وتكون طاقة التفاعل بين العزمين
اللذين تفصلهما مسافة R هي:


شكل (3-9)
مصدر قوى فان در فال. ثنائي القطب الأول له عزم مقداره P1 ينشأ عنه مجال كهربائى E يؤثر على الذرة 2 فتكتسب عزما مقداره P2، ويكون التفاعل بين الذرتين موجبا دائما ويزداد عند اقتراب الذرتين من بعضهما البعض.
وحيث إن العزوم في حالة تفاعل «فان درفال» متوزاية فإن طاقة وضع تلك العزوم هي:

حيث C مقدار ثابت. وتشير الإشارة السالبة إلى أن التفاعل بينهما من النوع التجاذبي ويسمى تفاعل «فان درفال» أو تفاعل «لندن» أو تفاعل ثنائي قطب مع ثنائي قطب مستحث. وهذا هو التفاعل التجاذبي الأساسي في بلورات الغازات الخاملة وبلورات العديد من المواد العضوية.
على أن هذا التفاعل يقابله تفاعل تنافري ولو تخيلنا أن التوزيع الإلكتروني لذرة ما قد أقحم داخل حيز كروي جامد لأخذت طاقة الحركة الإلكترونية في الارتفاع (الشكل 9-4) وتعمل هذه الزيادة كقوة تنافر تقاوم الانضغاط. وإلى جانب هذا فهناك سبب آخر للتنافر وهو تراكب التوزيعين الإلكترونيين للذرتين. وكلما زاد تقارب الذرتين، تراكبت شحنتاهما تدريجيا مما يؤدي إلى تغير الطاقة الكهروستاتيكية للمجموعة. وعندما تصبح المسافة الفاصلة بينهما ضئيلة بما فيه الكفاية فإن طاقة التراكب تصبح تنافرية تماما (الشكل 9-5).

شكل (9-4)
طاقة الحركة وطاقة الوضع والطاقة الكلية لذرة هيدروجين داخل حيز کروي جامد نصف قطره R. تزداد الطاقة الكلية كلما قل نصف قطر الحيز

شكل (5-9)
يتراكب توزيع الشحنة لكل من الذرتين عند اقترابهما من بعضهما البعض. وتشير الدوائر المصمتة إلى النوى.
وتشير الحسابات النظرية للغازات الخاملة إلى أن جهد التنافر قد يأخذ، الصورة؛ B/R12، حيث B مقدار ثابت موجب، وعلى ذلك، فإن طاقة الوضع الكلية لذرتين تفصلهما مسافة R تصبح ...

ويطلق على هذا المقدار – أحيانا – جهد «لينارد –چونز» ويمثل بيانيا كما في شكل (9-6).

شكل (9-6)
تمثيل بياني لجهد لينارد جونز (المعادلة 3-9) والذي يصف التفاعل بين ذرتي غاز خامل
الاكثر قراءة في مواضيع عامة في الفيزياء الصلبة
اخر الاخبار
اخبار العتبة العباسية المقدسة