الخواص الفيزيائية الأساسية للبلورات السائلة: الخواص البصرية Optical Properties
المؤلف:
أ.د. نعيمة عبد القادر أحمد / أ.د. محمد أمين سلمان
المصدر:
علم البلورات والاشعة السينية
الجزء والصفحة:
ص447–450
2023-10-11
1655
أ- اللاايزوتروبية:
يرتبط سلوك البلورات السائلة أحادية المحور عند الترددات المرتفعة (1-s 1010~Dω ‹‹ ω) رهنا بإسهام كل من الاستقطاب الكهربائي الإلكتروني والأيوني ولا يظهر إسهام مركبة الاستقطاب الاتجاهي الناشئ عن ثنائيات القطب؛ ولهذا يصبح شقا معامل الانكسار المركب وهما معامل الانكسار n ومعامل الامتصاص k، لا أيزوتروبيين. ولكل منهما مركبتان رئيسيتان هما
يوضح الشكل (15-10) منحنيات تغير معاملات الانكسار الرئيسية مع درجة الحرارة لثلاث من البلورات السائلة النيماتية. أما القيمة المتوسطة لمعاملات الانكسار في الطور النيماتي فهي تعطى بالمعادلة:

علما بأن الكمية 1/2(<n2>) تختلف عن معامل الانكسار nis في الطور الأيزوتروبي بسبب اعتماد كثافة المادة على درجة الحرارة. أما استقطابية الجزيئات المتوسطة فهي لا تعتمد على درجة الحرارة.

شكل (15-10)
تغير معاملى الانكسار الرئيسيين n (محنى 1، 3، 5) و
(منحني 2، 4، 6) لثلاث من البلورات السائلة
ويمكننا تعريف ما يسمى باللاأيزوتروبية البصرية بالمقدار nΔ حيث،

وتتحدد nΔ تماما بلا أيزوتروبية الاستقطابية مقاسة بالتوازي وبالتعامد مع المحور الجزيئي الطويل.
وتزداد قيم اللا أيزوتروبية nΔ مع كل من:
1- استطالة سلسلة الترابط الموازية للمحور الجزيئي.
2- عند استبدال الحلقات العطرية المشبعة بأخرى غير مشبعة.
3- عند تقصير سلسلة «الألكايل» في نهاية المجموعات الجزيئية فتصبح سلسلة على هيئة تبادلات زوجية وفردية.
4- زيادة قيم بارامتر الترتيب.
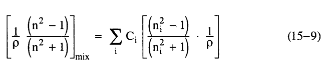
وتخضع اللاأيزوتروبية البصرية لمخاليط البلورات السائلة لقاعدة الإضافة.
حيث Ci هو الكسر الجزيئي للمركبة (i) في المخلوط.
ب- الثنائية اللونية Dichroism
تحدث لا أيزوتروبية الامتصاص (أوما يسمى ثنائية اللون) في البلورات السائلة، إما بسبب وجود مذبذب ذي طول موجى قصير 400 nm)>) والذي ينطبق مع اتجاه المحور الجزيئي الطويل، أو بسبب الشوائب مثل الصبغات ثنائية اللون (ويمكننا أن نطلق على هذه الشوائب اسم «الضيوف») الذائبة في البلورات السائلة («المضيفة»). وسنتناول الحالة الثانية لأهميتها في التطبيقات العملية وذلك في إطار ما يعرف بتأثير «ضيف - مضيف».
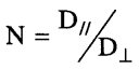
هب أن لدينا جزيئا ndye من الصبغة «الضيف»، وهب أن المحور الجزيئي الطويل يميل بزاوية مقدارها θ مع الموجّه L للبلورة السائلة «المضيفة» ثم دع مذبذب الامتصاص O يميل بزاوية مقدارها β مع المحور الجزيئي الطويل للصبغة (شكل 15-11) عندئذ يكون بارامتر الترتيب للصبغة ثنائية اللون Sdye مرتبطا مع النسبة الثنائية اللونية
بالعلاقة الآتية:
وعلى هذا يكون تعريف النسبة للصبغة أو N هو أنها النسبة بين الكثافتين الضوئيتين (البصريتين)
الناتجتين عن قياس الاستقطابية لمحلول الصبغة ثنائية اللون في البلورة السائلة التي تأخذ اتجاها إما موازيا أو متعامدا مع متجه استقطاب الضوء على الترتيب.

شكل (15-10)
موقع مهتز الامتصاص ndye بالنسبة للبلورة السائلة nLC
الاكثر قراءة في مواضيع عامة في الفيزياء الصلبة
اخر الاخبار
اخبار العتبة العباسية المقدسة