

علم الكيمياء

تاريخ الكيمياء والعلماء المشاهير

التحاضير والتجارب الكيميائية

المخاطر والوقاية في الكيمياء

اخرى

مقالات متنوعة في علم الكيمياء

كيمياء عامة


الكيمياء التحليلية

مواضيع عامة في الكيمياء التحليلية

التحليل النوعي والكمي

التحليل الآلي (الطيفي)

طرق الفصل والتنقية


الكيمياء الحياتية

مواضيع عامة في الكيمياء الحياتية

الكاربوهيدرات

الاحماض الامينية والبروتينات

الانزيمات

الدهون

الاحماض النووية

الفيتامينات والمرافقات الانزيمية

الهرمونات


الكيمياء العضوية

مواضيع عامة في الكيمياء العضوية

الهايدروكاربونات

المركبات الوسطية وميكانيكيات التفاعلات العضوية

التشخيص العضوي

تجارب وتفاعلات في الكيمياء العضوية


الكيمياء الفيزيائية

مواضيع عامة في الكيمياء الفيزيائية

الكيمياء الحرارية

حركية التفاعلات الكيميائية

الكيمياء الكهربائية


الكيمياء اللاعضوية

مواضيع عامة في الكيمياء اللاعضوية

الجدول الدوري وخواص العناصر

نظريات التآصر الكيميائي

كيمياء العناصر الانتقالية ومركباتها المعقدة


مواضيع اخرى في الكيمياء

كيمياء النانو

الكيمياء السريرية

الكيمياء الطبية والدوائية

كيمياء الاغذية والنواتج الطبيعية

الكيمياء الجنائية


الكيمياء الصناعية

البترو كيمياويات

الكيمياء الخضراء

كيمياء البيئة

كيمياء البوليمرات

مواضيع عامة في الكيمياء الصناعية

الكيمياء التناسقية

الكيمياء الاشعاعية والنووية
معقدات الدِّبال Humic substanes complexation
المؤلف:
د. حسان صديق / د. نائل يسري
المصدر:
كيمياء البيئة
الجزء والصفحة:
ص 194-196
2023-10-26
1485
تعد مواد الدبال Humic substances ومعقداته من أهم المعقدات العضوية المتشكلة طبيعياً في الأوساط المائية، حيث تصنف بأنها مواد مقاومة للتحطم. تنتج خلال تفكك بقايا النباتات وأوراق الشجر ، وتوجد بشكل طبيعي في التربة والمستنقعات والنسج النباتية المتفحمة، أو بالأحرى في أي توجد فيه كميات كبيرة من النباتات المتفسخة.
يصنف الدبال وفقاً لانحلاليته، فمثلاً عند استخلاص الدبال بأسـاس قـوي ثــم تحميض المحلول الناتج ، سوف تظهر المكونات التالية:
- مادة لا تستخلص بالأساس في المرحلة الأولى وتدعى هيومين humin.
- مادة تستخلص بالأساس ثم تترسب بوجود الحمض وتدعى حمض الدبال humic acid.
- مادة تستخلص بالأساس وتبقى منحلة بإضافة الحمض وتدعى بحمض الفولفيك.Fulvic acid
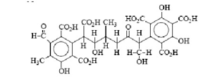
تعد المركبات الثلاث هامة في العمليات البيئية، فكون حمض الفولفيك منحل في الأوساط المائية، يظهر تأثيره كمادة منحلة، مشكلاً المعقدات المنحلة، أما حمض الدبال والهيومين، فيظهر تأثيرهما بتبادل المواد المنحلة مثل الشوارد والمواد العضوية. تملك مركبات الدبال وزن جزيئي مرتفع، يتراوح بين عدة مئات بالنسبة لحمض الفولفيك وعشرات الآلاف للهيومين وحمض الهيوميك، وهي جزيئات كبيرة متعددة الشحنات، تحتوي هيكل كربوني ذو خواص عطرية، ووظائف متعددة تحتوي معظمها على الأوكسجين . يتضمن التركيب الأولي لمعظم المركبات الدبالية على : C، بنسبة 45-55% ، و % 45 - 30 : O ، و % 6-3 : H، و % 5-1 : N ، و% 1-0 : S . يأخذ حمض الفولفيك (أصغر مركبات (الدبال الصيغة الافتراضية التالية، والتي تحوي عدة زمر وظيفية تختلف بكميتها ونوعيتها من عينة لأخرى.

تظهر البنية الافتراضية لحمض الفولفيك العديد من المجموعات الوظيفية، والتي تختلف باختلاف مصدر العينة من هذه المجموعات زمر الكربوكسيل، الفينول الكحول والكربونيل يعد ارتباط مركبات الدبال مع الشوارد المعدنية، من أهم الخواص النوعية لهذه المركبات، ويتم هذا الارتباط عادة بشكل مخلبات بين زمرتين حمضيتين أو بين زمرة حمضية وأخرى فينولية أو مع زمرة حمضية فقط.

إن الضوابط التي تحكم تشكيل معقدات الدبال مع المعادن في الأوساط المائية الطبيعية، غير معروفة بشكل جيد حيث يشكل الدبال أهم وأقوى معقداته مع شوارد الحديد والألمنيوم، ويرتبط بشكل ضعيف مع شوارد المغنيزيوم. أما ارتباطه مع الشوارد الأخرى كالنيكل، والرصاص، والكالسيوم والزنك فيكون متفاوتاً أو متوسط القوة. تظهر معقدات حمض الفولفيك مع شوارد الحديد لون اصفر مميز في الوسط المائي، وهو اللون المشاهد في بعض الأوساط المائية كالأنهر والبحيرات. أما المركبات الدبالية غير المنحلة (هيومين وحمض الهيوميك)، فتلعب دوراً هاماً في التبادل الشاردي وتجميع وعزل بعض المعادن في الأوساط المائية.
بدأ الاهتمام بدراسة المركبات الدبالية في المياه منذ عام 1970، حيث تم. وجود مركبات مثل ثلاثي هالو ميتان (CX3H) THM ،Trihalomethane. كالكلوروفرم وثنائي برومو كلوروميتان، ويعتقد أنها مركبات مسرطنة، تنتج من تفاعل الكلور مع الدبال المستخدم في معالجة مياه الشرب. لذلك يجب التخلص من المركبات مع الدبالية الموجودة في المياه قبل معالجتها وتطهيرها بالكلورة.ور
الاكثر قراءة في كيمياء البيئة
اخر الاخبار
اخبار العتبة العباسية المقدسة
الآخبار الصحية

قسم الشؤون الفكرية يصدر كتاباً يوثق تاريخ السدانة في العتبة العباسية المقدسة
"المهمة".. إصدار قصصي يوثّق القصص الفائزة في مسابقة فتوى الدفاع المقدسة للقصة القصيرة
(نوافذ).. إصدار أدبي يوثق القصص الفائزة في مسابقة الإمام العسكري (عليه السلام)