

علم الكيمياء

تاريخ الكيمياء والعلماء المشاهير

التحاضير والتجارب الكيميائية

المخاطر والوقاية في الكيمياء

اخرى

مقالات متنوعة في علم الكيمياء

كيمياء عامة


الكيمياء التحليلية

مواضيع عامة في الكيمياء التحليلية

التحليل النوعي والكمي

التحليل الآلي (الطيفي)

طرق الفصل والتنقية


الكيمياء الحياتية

مواضيع عامة في الكيمياء الحياتية

الكاربوهيدرات

الاحماض الامينية والبروتينات

الانزيمات

الدهون

الاحماض النووية

الفيتامينات والمرافقات الانزيمية

الهرمونات


الكيمياء العضوية

مواضيع عامة في الكيمياء العضوية

الهايدروكاربونات

المركبات الوسطية وميكانيكيات التفاعلات العضوية

التشخيص العضوي

تجارب وتفاعلات في الكيمياء العضوية


الكيمياء الفيزيائية

مواضيع عامة في الكيمياء الفيزيائية

الكيمياء الحرارية

حركية التفاعلات الكيميائية

الكيمياء الكهربائية


الكيمياء اللاعضوية

مواضيع عامة في الكيمياء اللاعضوية

الجدول الدوري وخواص العناصر

نظريات التآصر الكيميائي

كيمياء العناصر الانتقالية ومركباتها المعقدة


مواضيع اخرى في الكيمياء

كيمياء النانو

الكيمياء السريرية

الكيمياء الطبية والدوائية

كيمياء الاغذية والنواتج الطبيعية

الكيمياء الجنائية


الكيمياء الصناعية

البترو كيمياويات

الكيمياء الخضراء

كيمياء البيئة

كيمياء البوليمرات

مواضيع عامة في الكيمياء الصناعية

الكيمياء التناسقية

الكيمياء الاشعاعية والنووية
ارتباط النوكليتيدات وتكوين جزيئات DNA و RNA
المؤلف:
د.محمد علي سلوم و د.خليفة الصباح خليفة
المصدر:
كيمياء النبات
الجزء والصفحة:
30-11-2015
58850
ارتباط النوكليتيدات وتكوين جزيئات DNA و RNA
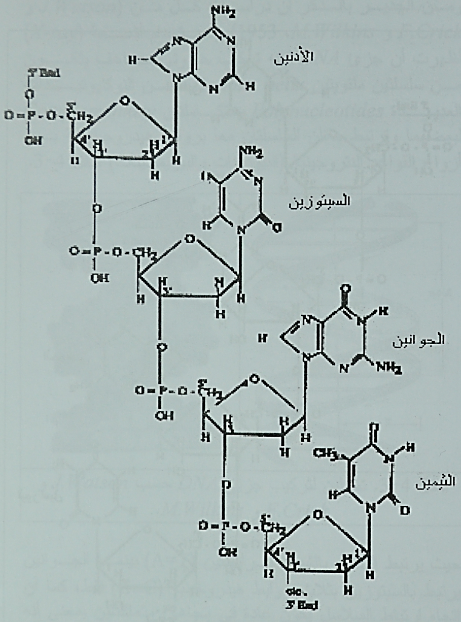
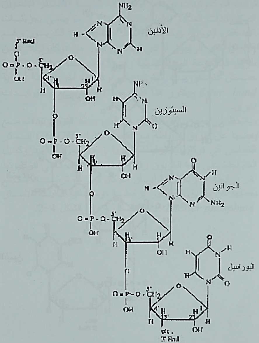
ترتبط النوكليتيدات بروابط فوسفاتية ثنائية الأستر لتكوين النوكليوتيدات العديدة Polynucleotides أو ما يسمى بجزيئات الاحماض النووية، ويحدث الارتباط عادة بين ذرة الكربون رقم (3) من سكر الرايبوز أو دي اوكسي رقم (5) المرتبطة بها مع بقية حمض الفوسفوريك المتواجد في نوكليوتيد آخر برابطة استرية Ester bond ويتكرر هذا النوع من الارتباط مع نوكليوتيدات أخرى.
ويلاحظ أن حمض الفوسفوريك هو الذي يربط النوكليتيدات مع بعضها عن طرق ارتباطه مع الكحول الأولي CH2OH للسكر الخماسي في نوكليوتيد برابطة أسترية ومع مجموعة الهيدروكسيل المتواجدة على ذرة الكربون رقم (3) في السكر الخماسي لنوكليوتيد آخر برابطة استرية ايضاً أي أن النوكليتيدات ترتبط مع بعضها عن طريق الفوسفور برابطة فوسفاتية ثنائية الأستر Diester phosphate . لاحظ الشكل 1 والشكل 2.

شكل 1: التركيب الكيميائي لجزء من جزئ DNA

شكل 2: التركيب الكيميائي لجزئ من جزئ RNA
ومن الجدير بالذكر أن دراسات كل من (J. Watson و F. Crick و M. Wilkins، 1953) باستخدام اشعة (X-ray) أظهرت أن جزئ DNA له تركيب حلزوني مضاعف يتكون من سلسلتين ملتويتين Double helix من النوكليوتيدات العديدة Polynucleotides ومتكاملتين Complementary لبعضهما وترتبط هاتان السلسلتان معاً بروابط هيدروجينية بين أزواج القواعد النتروجينية (البيورينات والبيريميدينات ) شكل 3-4.

شكل 3: تمثيلين لتركيب جزيء DNA حسب J. Watson و F. Crick و M. Wilkins.
حيث يرتبط الآدنين بالثيمين برابطتين (A = t) بينما الجوانين يرتبط السيتوزين بثلاث روابط هيدروجينية (G = C) فقط، كما ان اتجاه ارتباط السلاسل يكون عادة في اتجاهين متعاكسين بمعنى أنه اذا كان الآدنين مرتبط بالجوانين المجاور في نفس السلسلة برابطة 5—3 فإن القواعد المكملة وهي الثيمين والسيتوزين من السلسلة الاخرى تكون مرتبطة برابطة
3—5 وهكذا . . . كما هو موضح في الشكل 4.

شكل 4: يوضح ارتباط القواعد النتروجينية في جزيئ DNA
وقد اظهرت التحاليل الكيميائية لجزئ DNA ان النسبة بين كل من الثيمين Thymine والأدنين Adenine وبين كل من الجوانين Quanine والسيتوزين Cytosine هي 1:1 مما يرجح أن آلية الارتباط بين السلاسل تحدث بين قاعدة بيورين مع قاعدة بيريميدين وليس بين قاعدة البيورين مع البيورين أو البيريميدين مع البيريميدين ، ومع ذلك وتحت الظروف المناسبة وتوفر الانزيمات الضرورية فإن السلسلتين المكونتين لحمض DNA تنفصلان عن بعضهما لتقوم كل منهما بتكوين سلسلة جديدة تماثل السلسلة التي انفصلت عنها، هذا يعني أن حمض DNA قادر على نسخ نفسه في حالة نمو الكائنات الحية للمحافظة على خصائصه لأنه هو الجزء الخاص بالمعلومات الموروثة في الكائنات الحية.
اما الحمض النووي RNA فله بناء حلزوني مكون من شريط واحد Single strand مؤلف من تتابع نوكليتيدات ويشبه إلى حد كبير الحمض النووي (DNA) ع استبدال قاعدة الثمين Thyamine بقاعدة اليوراسيل Uracil في جزيء RNA، وكما ترتبط قاعدة الادنين مع الثيمين في جزئ DNA فإن قاعدة الادنين ترتبط مع اليوراسيل في جزئ RNA وهكذا فإن جزيء RNA يختلف عن جزيء DNA في عدة نقاط هي:
1ـ السكر الذي يدخل في تركيب RNA هو الرايبوز Ribose، بينما السكر الذي يدخل في DNA هو دي أوكسي رايبوز Deocytibose.
2- يدخل الأساس العضوي (ألقاعدة) اليورااسيل Uracil في RNA عوضاً عن الثيمين في DNA أما بقية القواعد فتدخل في تركيب كلا الحمضين.
3- يكون جزيء RNA غالباً بشكل سلسلة مفردة بينما DNA يوجد على شكل سلسلة مضاعفة.
ومن الثابت والمؤكد أن للحمض النووي RNA ثلاثة انواع تختلف في الحجم والوظيفة. اكبرها حجماً يوجد في الرايبوزومات ويعرف بالحمض النووي الريبوزمي RNA ribosomal (r- RNA) ويشغل حوالي 80% من مجموع RNA الخلية، ثم الحمض النووي الناقل RNA (m-RNA) messenger وهو الأصغر حجماً ويلعب دوراً هاماً في بناء البروتينات وأخيراً الحمض النووي المحول (t-RNA) Transfer RNA ويلعب دوراً أساسياً في قراءة الشفرة الجينية (Genetic code).
الاكثر قراءة في كيمياء البيئة
اخر الاخبار
اخبار العتبة العباسية المقدسة
الآخبار الصحية

قسم الشؤون الفكرية يصدر كتاباً يوثق تاريخ السدانة في العتبة العباسية المقدسة
"المهمة".. إصدار قصصي يوثّق القصص الفائزة في مسابقة فتوى الدفاع المقدسة للقصة القصيرة
(نوافذ).. إصدار أدبي يوثق القصص الفائزة في مسابقة الإمام العسكري (عليه السلام)