
تاريخ الفيزياء

علماء الفيزياء


الفيزياء الكلاسيكية

الميكانيك

الديناميكا الحرارية


الكهربائية والمغناطيسية

الكهربائية

المغناطيسية

الكهرومغناطيسية


علم البصريات

تاريخ علم البصريات

الضوء

مواضيع عامة في علم البصريات

الصوت


الفيزياء الحديثة


النظرية النسبية

النظرية النسبية الخاصة

النظرية النسبية العامة

مواضيع عامة في النظرية النسبية

ميكانيكا الكم

الفيزياء الذرية

الفيزياء الجزيئية


الفيزياء النووية

مواضيع عامة في الفيزياء النووية

النشاط الاشعاعي


فيزياء الحالة الصلبة

الموصلات

أشباه الموصلات

العوازل

مواضيع عامة في الفيزياء الصلبة

فيزياء الجوامد


الليزر

أنواع الليزر

بعض تطبيقات الليزر

مواضيع عامة في الليزر


علم الفلك

تاريخ وعلماء علم الفلك

الثقوب السوداء


المجموعة الشمسية

الشمس

كوكب عطارد

كوكب الزهرة

كوكب الأرض

كوكب المريخ

كوكب المشتري

كوكب زحل

كوكب أورانوس

كوكب نبتون

كوكب بلوتو

القمر

كواكب ومواضيع اخرى

مواضيع عامة في علم الفلك

النجوم

البلازما

الألكترونيات

خواص المادة


الطاقة البديلة

الطاقة الشمسية

مواضيع عامة في الطاقة البديلة

المد والجزر

فيزياء الجسيمات


الفيزياء والعلوم الأخرى

الفيزياء الكيميائية

الفيزياء الرياضية

الفيزياء الحيوية

الفيزياء العامة


مواضيع عامة في الفيزياء

تجارب فيزيائية

مصطلحات وتعاريف فيزيائية

وحدات القياس الفيزيائية

طرائف الفيزياء

مواضيع اخرى
التأريخ بالنشاط الإشعاعي
المؤلف:
فريدريك بوش ، دافيد جيرد
المصدر:
اساسيات الفيزياء
الجزء والصفحة:
3-1-2016
7297
التأريخ بالنشاط الإشعاعي
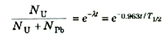
من التطبيقات المثيرة للاهتمام ، استخدام النشاط الإشعاعي في تحديد عمر المواد القديمة. فيمكننا ــ على سبيل المثال ــ تحديد عمر الصخور الحاملة لعنصر اليورانيوم بالطريق التالية. فحيث أن اليورانيوم 238 يضمحل ليؤول إلى الرصاص 206 فإننا نخمن أن الرصاص 206 المختلط بشدة باليورانيوم 238 (في صخرة ما قد نشأة من اليورانيوم الذي اضمحل عبر السنين. افترض الآن أن تحليل الصخور قد اثبت أن أعداد ذرات كل من اليورانيوم والرصاص في وحدة الحجوم هي Nv وNPb على الترتيب. وعلى ذلك تكون النسبة بين مقدا اليورانيوم الموجود حالياً إلى المقدار الذي كان موجوداً منذ فترة t من الزمن، عندما تجمدت الصخور المنصهرة هي:

حيث T½ هو عمر النصف لليورانيوم 238 وهو 4.5×109 yr. وأقدم الصخور عمراً على الأرض هي تلك التي بها Nv = NPb ولذلك نقدر أن الأرض قد تجمدت منذ مدة تساوي عمر نصف واحد لليورانيوم 238 تقريباً.
وقد استخدم نظام اضمحلال إشعاعي آخر، على نطاق واسع، لتأريخ عينات من صخور القمر والنيازك، ويعتد على اضمحلال β للنظير87Rb 4.88×109 yr=T½ التي يتحول إلى 87Sr.وحيث أن أقدم صخور القمر عمراً وكذلك النيازك هي ما تكونت في المراحل المبكرة جداً للنظام الشمسي، فإن الفلكين يعتبرون نتائج هذه الطريقة مفيدة للحصول على تقدير لعمر الشمس والكواكب. وتدل التقديرات المبنية على عينات من نوعي الصخور على أن أقصى عمر تقريبي هو 4.6×109 yr بخطأ مقداره 0.1×109 yr± تقريبا. كما أن هناك نظائر مشعة أخرى تؤدي القياسات المستقلة لها إلى نفس العمر تقريباً.
ولكي يمكن تحديد عمر الأشياء التي كانت في وقت من الأوقات حية كالخشب والعظام فإن العلماء يستخدمون تقنية تسمى التأريخ بالكربون المشع، ويستخدم فيها النظير المشع للكربون C 14. ويتم إنتاج هذا النظير بشكل دائم على الأرض نتيجة قذف نيتروجين الجو بالأشعة الكونية القادمة من الفضاء الخارجي. وعمر النصف لهذا النظير 5730 yr. وحيث أن الكربون المشع مطابق كيميائياً للكربون 12C ، فإن كل الكائنات الحية تحتوي على مزيج متلاحم من هذين النظيرين . وبمرور السنين، فإن نسبة الكربون 14 إلى الكربون 12 تتخذ قيمة متوسطة هي 1.30×10-12 إلا انه عندما تموت شجرة مثلاً، فإن الكربون 14 في خشبها لن يمكن تجديده، ولذلك يضمحل مقدار الكربون 14 بداخلها بعمر نصف مقداره 5730 yr، وبمرور الزمن تتناقص النسبة 14C/12C وتتضاءل كذلك فاعلية الجرام الواحد من عينة ما. ويمكن استخدام الحقيقة في تعيين طول الفترة الزمنية التي انقضت منذ موت الشجرة.
الاكثر قراءة في النشاط الاشعاعي
اخر الاخبار
اخبار العتبة العباسية المقدسة
الآخبار الصحية

قسم الشؤون الفكرية يصدر كتاباً يوثق تاريخ السدانة في العتبة العباسية المقدسة
"المهمة".. إصدار قصصي يوثّق القصص الفائزة في مسابقة فتوى الدفاع المقدسة للقصة القصيرة
(نوافذ).. إصدار أدبي يوثق القصص الفائزة في مسابقة الإمام العسكري (عليه السلام)