
تاريخ الفيزياء

علماء الفيزياء


الفيزياء الكلاسيكية

الميكانيك

الديناميكا الحرارية


الكهربائية والمغناطيسية

الكهربائية

المغناطيسية

الكهرومغناطيسية


علم البصريات

تاريخ علم البصريات

الضوء

مواضيع عامة في علم البصريات

الصوت


الفيزياء الحديثة


النظرية النسبية

النظرية النسبية الخاصة

النظرية النسبية العامة

مواضيع عامة في النظرية النسبية

ميكانيكا الكم

الفيزياء الذرية

الفيزياء الجزيئية


الفيزياء النووية

مواضيع عامة في الفيزياء النووية

النشاط الاشعاعي


فيزياء الحالة الصلبة

الموصلات

أشباه الموصلات

العوازل

مواضيع عامة في الفيزياء الصلبة

فيزياء الجوامد


الليزر

أنواع الليزر

بعض تطبيقات الليزر

مواضيع عامة في الليزر


علم الفلك

تاريخ وعلماء علم الفلك

الثقوب السوداء


المجموعة الشمسية

الشمس

كوكب عطارد

كوكب الزهرة

كوكب الأرض

كوكب المريخ

كوكب المشتري

كوكب زحل

كوكب أورانوس

كوكب نبتون

كوكب بلوتو

القمر

كواكب ومواضيع اخرى

مواضيع عامة في علم الفلك

النجوم

البلازما

الألكترونيات

خواص المادة


الطاقة البديلة

الطاقة الشمسية

مواضيع عامة في الطاقة البديلة

المد والجزر

فيزياء الجسيمات


الفيزياء والعلوم الأخرى

الفيزياء الكيميائية

الفيزياء الرياضية

الفيزياء الحيوية

الفيزياء والفلسفة

الفيزياء العامة


مواضيع عامة في الفيزياء

تجارب فيزيائية

مصطلحات وتعاريف فيزيائية

وحدات القياس الفيزيائية

طرائف الفيزياء

مواضيع اخرى
القوة الدافعة الكهربية (EMF) والجهد الطرفي للبطارية
المؤلف:
فريدريك بوش ، دافيد جيرد
المصدر:
اساسيات الفيزياء
الجزء والصفحة:
7-1-2016
21469
القوة الدافعة الكهربية (EMF) والجهد الطرفي للبطارية
من المحتمل أن يكون كل منا قد لاحظ في وقت ما أو آخر ، أن أضواء السيارة تخفت عند إدارة المحرك. والسبب في هذا هو أن البادئ الكهربي يسحب تياراً كبيراً من البطارية ، وهو بهذا يقلل من الجهد بين طرفي البطارية فتخفت أضواء السيارة وسنقوم الآن بدارسة عدم ثبات فرق الجهد الطرفي للبطارية.
أن (emf) للبطارية تتولد من التفاعل الكيميائي داخل البطارية. على أن البطارية أداة كيميائية معقدة جداً ولا يمكن للشحنة ان تتحرك بداخلها دون أن تواجه مقاومة داخلية. ونتيجة لهذا تتصرف البطارية في دائرة ما على انها مصدر نقي للقوة الدافعة الكهربي (R = 0) متصل على التوالي مع مقاوم. ويوضح الشكل 1)) هذه المقاومة الداخلية r وعنصر الدائرة المكافئ للبطارية.
لاحظ أنه عندما لا يسحب تيار من البطارية ، فإنه لن يدخل فرق للجهد عبر المقاومة الداخلية r. ومن ثم يكون فرق الجهد بين طرفيها مساوياً لقوتها الدافعة الكهربي. على أنه لو وصلت البطارية عبر مقاوم خارجي ، كما في الشكل (2) فإن التيار يكون I.. وفرق الجهد عبر الطرفين هو
الجهد الطرفي == VT - Irε = ( أثناء التفريغ)
وإذا كان البطارية تمر بعملية شحن ، أي لو كان التيار يتدفق خلال البطارية من الطرف الموجب غلى الطرف السالب فإن :
الجهد الطرفي == VT Ir + ε = ( أثناء الشحن)
وبالنسبة لبطارية جيدة قوتها 12 V ، فإن مقاومتها الداخلية لا تتجاوز نحو0.01Ω وعند توصيل هذه البطارية هذه البطارية عبر مقاوم3Ω فإن:

والجهد الطرفيVT هو فرق الجهد بين النقطتين a و b:

وفي هذه الحالة فإن الجهد الطرفي مساو تقريباً للقوة الدافعة الكهربية.
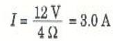
على أنه كلما تقدم العمر بالبطارية ، كلما زادت مقاومتها الداخلية ؛ لول أن المقاومة الداخلية للبطارية زادت حتى صارت 1.0 Ω فإن التيار الذي يمر في مقاومة3Ω متصلة بالبطارية يصبح:

أما الجهد الطرفي فيكون

ولابد ان يكون واضحاً ، أنه عند تشغيل بادئ الحركة فإن السيارة تسحب نحو 100 A من البطارية ، وعندئذ ينخفض الجهد الطرفي للبطارية ــ حتى وإن كانت جديدة ــ بشكل ملحوظ.
الاكثر قراءة في الكهربائية
اخر الاخبار
اخبار العتبة العباسية المقدسة
الآخبار الصحية

قسم الشؤون الفكرية يصدر كتاباً يوثق تاريخ السدانة في العتبة العباسية المقدسة
"المهمة".. إصدار قصصي يوثّق القصص الفائزة في مسابقة فتوى الدفاع المقدسة للقصة القصيرة
(نوافذ).. إصدار أدبي يوثق القصص الفائزة في مسابقة الإمام العسكري (عليه السلام)