
تاريخ الفيزياء

علماء الفيزياء


الفيزياء الكلاسيكية

الميكانيك

الديناميكا الحرارية


الكهربائية والمغناطيسية

الكهربائية

المغناطيسية

الكهرومغناطيسية


علم البصريات

تاريخ علم البصريات

الضوء

مواضيع عامة في علم البصريات

الصوت


الفيزياء الحديثة


النظرية النسبية

النظرية النسبية الخاصة

النظرية النسبية العامة

مواضيع عامة في النظرية النسبية

ميكانيكا الكم

الفيزياء الذرية

الفيزياء الجزيئية


الفيزياء النووية

مواضيع عامة في الفيزياء النووية

النشاط الاشعاعي


فيزياء الحالة الصلبة

الموصلات

أشباه الموصلات

العوازل

مواضيع عامة في الفيزياء الصلبة

فيزياء الجوامد


الليزر

أنواع الليزر

بعض تطبيقات الليزر

مواضيع عامة في الليزر


علم الفلك

تاريخ وعلماء علم الفلك

الثقوب السوداء


المجموعة الشمسية

الشمس

كوكب عطارد

كوكب الزهرة

كوكب الأرض

كوكب المريخ

كوكب المشتري

كوكب زحل

كوكب أورانوس

كوكب نبتون

كوكب بلوتو

القمر

كواكب ومواضيع اخرى

مواضيع عامة في علم الفلك

النجوم

البلازما

الألكترونيات

خواص المادة


الطاقة البديلة

الطاقة الشمسية

مواضيع عامة في الطاقة البديلة

المد والجزر

فيزياء الجسيمات


الفيزياء والعلوم الأخرى

الفيزياء الكيميائية

الفيزياء الرياضية

الفيزياء الحيوية

الفيزياء والفلسفة

الفيزياء العامة


مواضيع عامة في الفيزياء

تجارب فيزيائية

مصطلحات وتعاريف فيزيائية

وحدات القياس الفيزيائية

طرائف الفيزياء

مواضيع اخرى
THERMAL POPULATION EFFECTS
المؤلف:
Mark Csele
المصدر:
FUNDAMENTALS OF LIGHT SOURCES AND LASERS
الجزء والصفحة:
p127
16-3-2016
2037
THERMAL POPULATION EFFECTS
As mentioned previously, the effect of thermal energy on the population of energy levels is negligible in most cases. For a helium–neon laser, the lower lasing level is almost 19 eV above ground, so thermal populations are essentially zero at any practical operating temperature. The situation does exist, though, in some laser systems where the lower lasing level is very close to the ground level and thermal effects cannot be ignored. Where two or more transitions are possible, with one having a lower level close to ground state, a transition with a higher lower level may be favored.
Consider a common YAG laser in which neodymium ions are the active lasing species. Examining the energy levels and transitions of this laser, we see that several lasing transitions are possible, yet 1064 nm is the most powerful and the others rarely appear. As expected, each lower level is actually a cluster of levels tightly clumped together. The lower level for the 946-nm transition, for example, is part of a cluster of levels situated below 0.1 eV, referred to as ground state. Indeed, even ground state for an ion may be composed of a number of tightly clumped levels. Unlike the 1064-nm transition, where the lower level is 1.2 eV above ground state and where the population of this level from temperature alone is negligible, the population of the lower level for the 946-nm transition is very much affected by thermal population effects. Note that in a hot YAG rod (i.e., around 1000 K), the thermal effects on the 1064-nm transition can become significant (although in practice a rod would never be allowed to reach so high a temperature).
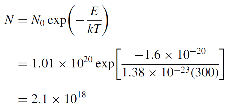
Example 1.1 Thermal Populations in a YAG Rod Consider a YAG rod doped with a total of 1.01 × 1020 neodymium ions. At a temperature of 300 K, the population of the lower level for the 946-nm transition can be calculated using Boltzmann statistics to be

This means that the upper lasing level for that transition must be filled to at least that quantity in order to have 946-nm emission. Contrast this to the population of the lower level for the 1064-nm transition at the same temperature as that of one (yes, only one) of the 1.01 × 1020 neodymium ions. It is fair to say that thermal effects on the 1064-nm transition’s lower level are negligible, but clearly that is not the case for the 946-nm transition, which has a lower level much closer to ground. All things being equal, we need a much higher pump power to excite the 946-nm transition. Like a three-level laser, this transition requires a large population to be excited to the upper level to ensure an inversion. Despite strong pumping, it is possible in some cases that the maximum number of ions pumped to the upper level for this transition will still be insufficient to ensure an inversion. The option, then, is to cool the rod (e.g., with liquid nitrogen at 77 K) to lower the thermal population of this level and allow a population inversion to occur.
Other systems exist with similar energy levels, such as erbium (Er3+ with a 1.55- μm emission) as used in fiber amplifiers. At a temperature of 300 K the system is essentially a three-level system since the lower lasing level is quite close to the ground state. At a temperature of 77 K (brought on by liquid-nitrogen cooling), the system is a four-level system, and population inversion is much easier to achieve.
الاكثر قراءة في مواضيع عامة في الليزر
اخر الاخبار
اخبار العتبة العباسية المقدسة
الآخبار الصحية

قسم الشؤون الفكرية يصدر كتاباً يوثق تاريخ السدانة في العتبة العباسية المقدسة
"المهمة".. إصدار قصصي يوثّق القصص الفائزة في مسابقة فتوى الدفاع المقدسة للقصة القصيرة
(نوافذ).. إصدار أدبي يوثق القصص الفائزة في مسابقة الإمام العسكري (عليه السلام)