دائرة كهربائية تحتوي على مقاومة و ملف
المؤلف:
وفاء السواح
المصدر:
أساسيات الكهربائية التيارية
الجزء والصفحة:
.....
17-7-2016
2734
دائرة كهربائية تحتوي على مقاومة و ملف
اذا كان لدينا دائرة كهربائية تتكون من مقاومة R و ملف حثه الذاتي L متصلين على التوالي مع مصدر الجهد المتردد كما هو موضح بالشكل.

اذا كان التيار المار في هذه الدائرة يعطى من العلاقة
I = Im sin ω t (1)
بتطبيق قانون كيرشوف على هذه الدائرة نجد ان
V = VR + VL (2)
(3)
و يمكن وضع فرق الجهد الكلى على الصورة
(4)
حيث تمثل A السعة الكلية و θ زاوية فرق الطور. و المطلوب الان ايجاد قيمة كل من A و θ .
و من حساب المثلثات تأخذ المعادلة السابقة الصورة
(5)
و بمقارنة المعادلتين (3) و (5) نجد أن
(6)
و من هاتين العلاقتين نجد أن


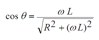
و من هذا المثلث نجد أن

و بالتعويض من هذه العلاقة في المعادلة (6) نحصل على

و بالتعويض عن قيمة كل من A و θ في المعادلة (4) نحصل على
(7)
و بمقارنة هذه المعادلة و المعادلة (1) نجد أن الجهد يتقدم على التيار بزاوية θ . و أن المقدار
يمثل الممانعة الكلية لهذه الدائرة.
الاكثر قراءة في الكهربائية
اخر الاخبار
اخبار العتبة العباسية المقدسة