تاريخ الفيزياء
علماء الفيزياء
الفيزياء الكلاسيكية
الميكانيك
الديناميكا الحرارية
الكهربائية والمغناطيسية
الكهربائية
المغناطيسية
الكهرومغناطيسية
علم البصريات
تاريخ علم البصريات
الضوء
مواضيع عامة في علم البصريات
الصوت
الفيزياء الحديثة
النظرية النسبية
النظرية النسبية الخاصة
النظرية النسبية العامة
مواضيع عامة في النظرية النسبية
ميكانيكا الكم
الفيزياء الذرية
الفيزياء الجزيئية
الفيزياء النووية
مواضيع عامة في الفيزياء النووية
النشاط الاشعاعي
فيزياء الحالة الصلبة
الموصلات
أشباه الموصلات
العوازل
مواضيع عامة في الفيزياء الصلبة
فيزياء الجوامد
الليزر
أنواع الليزر
بعض تطبيقات الليزر
مواضيع عامة في الليزر
علم الفلك
تاريخ وعلماء علم الفلك
الثقوب السوداء
المجموعة الشمسية
الشمس
كوكب عطارد
كوكب الزهرة
كوكب الأرض
كوكب المريخ
كوكب المشتري
كوكب زحل
كوكب أورانوس
كوكب نبتون
كوكب بلوتو
القمر
كواكب ومواضيع اخرى
مواضيع عامة في علم الفلك
النجوم
البلازما
الألكترونيات
خواص المادة
الطاقة البديلة
الطاقة الشمسية
مواضيع عامة في الطاقة البديلة
المد والجزر
فيزياء الجسيمات
الفيزياء والعلوم الأخرى
الفيزياء الكيميائية
الفيزياء الرياضية
الفيزياء الحيوية
الفيزياء العامة
مواضيع عامة في الفيزياء
تجارب فيزيائية
مصطلحات وتعاريف فيزيائية
وحدات القياس الفيزيائية
طرائف الفيزياء
مواضيع اخرى
Mathematical Derivation
المؤلف:
Donald A. Neamen
المصدر:
Semiconductor Physics and Devices
الجزء والصفحة:
p 139
18-5-2017
1245
Mathematical Derivation
The position of the Fermi energy level within the bandgap can be determined by using the equations already developed for the thermal-equilibrium electron and hole concentrations. If we assume the Boltzmann approximation to be valid, we have n0 = Nc exp[-(Ec – EF)/kT].
(1)
We can solve for Ec - EF from this equation and obtain
(2)
where n0 is given by Equation (1). If we consider an n-type semiconductor in which Nd >> ni, then n0 ≈ Nd, so that
(3)
The distance between the bottom of the conduction band and the Fermi energy is a logarithmic function of the donor concentration. As the donor concentration increases, the Fermi level moves closer to the conduction band. Conversely, if the Femi level moves closer to the conduction band, then the electron concentration in the conduction band is increasing. We may note that if we have a compensated semiconductor, then the Nd term in Equation (3) is simply replaced by Nd – Na, or the net effective donor concentration. We may develop a slightly different expression for the position of the Fermi level. That n0 = ni exp[(EF - EFi)/kT]. We can solve for EF - EFi as
(4)
Equation (4) can be used specifically for an n-type semiconductor, where n0 is given by Equation (1). to find the difference between the Fermi level and the intrinsic Fermi level as a function of the donor concentration. We may note that, if the net effective donor concentration is zero, that is, Nd – Na = 0, then n0 = ni and EF = EFi. A completely compensated semiconductor has the characteristics of an intrinsic material in terms of carrier concentration and Fermi level position.
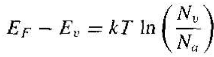
We can derive the same types of equations for a p-type semiconductor. We have p0 = Nv exp [-(EF – Ev)/kT]. so that
(5)
If we assume that Na >> ni. then Equation (5) can be written as
(6)
The distance between the Fermi level and the top of the valence-band energy for a p-type semiconductor is a logarithmic function or the acceptor concentration: as the acceptor concentration increases, the Fermi level moves closer to the valence band. Equation (6) still assumes that the Boltzmann approximation is valid. Again. if we have a compensated p-type semiconductor, then the Na term in Equation (6) is replaced by Na - Nd, or the net effective acceptor concentration.
We can also derive an expression for the relationship between the Fermi level and the intrinsic Fermi level in terms of the hole concentration. We have that p0 = ni exp [-(EF - EFi )/kT]. which yields
(7)
Equation (7) can be used to find the difference between the intrinsic Fermi level and the Fermi energy in terms of the acceptor concentration. The hole concentration p0 in Equation (7). We may again note from Equation (4) that, for an n-type semiconductor, n0 > ni and EF > EFi. The Fermi level for an n-type semiconductor is above EFi. For a p-type semiconductor, p0 > ni , and from Equation (7) we see that
Figure 1.1 1 Position of Fermi level for an (a) n-type (Nd > Na) and (b) p-type (Nd > Na) semiconductor.
EFi > EF. The Fermi level for a p-type semiconductor is below EFi. These result are shown in Figure 1.1.
الاكثر قراءة في مواضيع عامة في الفيزياء الصلبة
اخر الاخبار
اخبار العتبة العباسية المقدسة

الآخبار الصحية
